H2Mn1O2
MatHub2d-657-H2Mn1O2
| Property |
Value |
| Space group |
(164, 'P-3m1') |
| Crystal system |
hexagonal |
| Magnetic |
Yes |
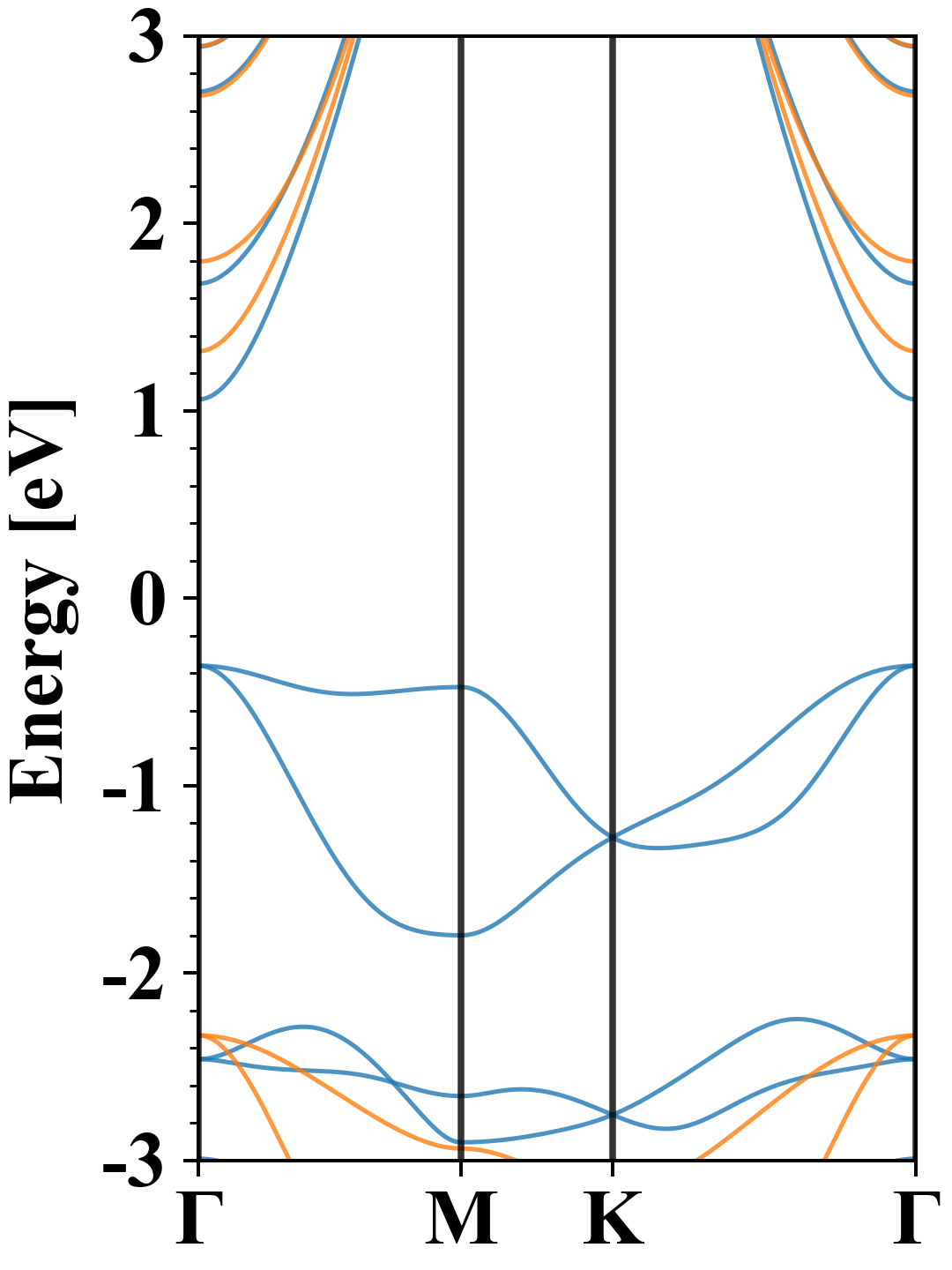
| Band gap (PBE) (eV) |
1.42 |
| Free energy (eV) |
-30.290 |
| Free energy / atom (eV) |
-6.058 |
Lattice Parameters (basic)
| a, b, c (Å): | 3.308 | 3.308 | 30.000 |
| α, β, γ (°): | 90.000 | 90.000 | 120.000 |
Lattice Parameters (computed)
| a, b, c (Å): | 3.367 | 3.367 | 30.000 |
| α, β, γ (°): | 90.000 | 90.000 | 120.000 |
| Property |
Value |
| Band gap |
1.42 eV |
| E-fermi |
-1.795 eV |
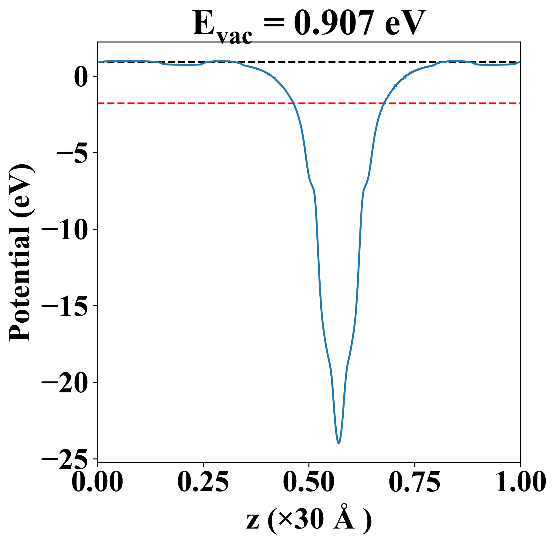
| Vacuum level |
0.907 eV |
| VBM |
-2.155 eV |
| CBM |
-0.735 eV |
| Work function |
2.702 eV |
| Direct gap |
Yes |
| Property |
Value |
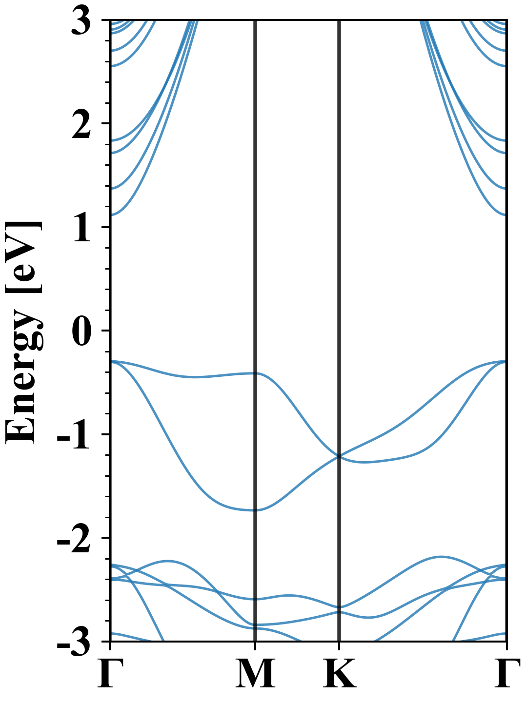
| Band gap |
1.41 eV |
| E-fermi |
-1.861 eV |
| VBM |
-2.154 eV |
| CBM |
-0.746 eV |
| Free energy (eV) |
-30.305 |
| Free energy / atom (eV) |
-6.061 |
| Property |
Value |
| Band gap |
1.42 eV |
| E-fermi |
-1.795 eV |
| Vacuum level |
0.907 eV |
| VBM |
-2.155 eV |
| CBM |
-0.735 eV |
| Work function |
2.702 eV |
| Cij (N/m) |
xx |
yy |
xy |
| xx |
27.686 |
13.599 |
-0.000 |
| yy |
13.599 |
27.686 |
0.000 |
| xy |
-0.000 |
0.000 |
7.044 |
| Phonon mode at Γ point (THz) |
| -0.050 |
| -0.014 |
| -0.014 |
| 5.717 |
| 5.717 |
| 6.581 |
| 6.581 |
| 9.288 |
| 10.722 |
| 15.372 |
| 15.372 |
| 16.344 |
| 16.344 |
| 111.706 |
| 112.045 |
| Property |
Value |
| from where |
JVASP-27913 |