H2Mg5O6
MatHub2d-656-H2Mg5O6
| Property |
Value |
| Space group |
(164, 'P-3m1') |
| Crystal system |
hexagonal |
| Magnetic |
No |
| Band gap (PBE) (eV) |
2.57 |
| Free energy (eV) |
-74.290 |
| Free energy / atom (eV) |
-5.715 |
Lattice Parameters (basic)
| a, b, c (Å): | 3.028 | 3.028 | 30.000 |
| α, β, γ (°): | 90.000 | 90.000 | 120.000 |
Lattice Parameters (computed)
| a, b, c (Å): | 3.041 | 3.041 | 30.000 |
| α, β, γ (°): | 90.000 | 90.000 | 120.000 |
| Property |
Value |
| Band gap |
2.57 eV |
| E-fermi |
-0.450 eV |
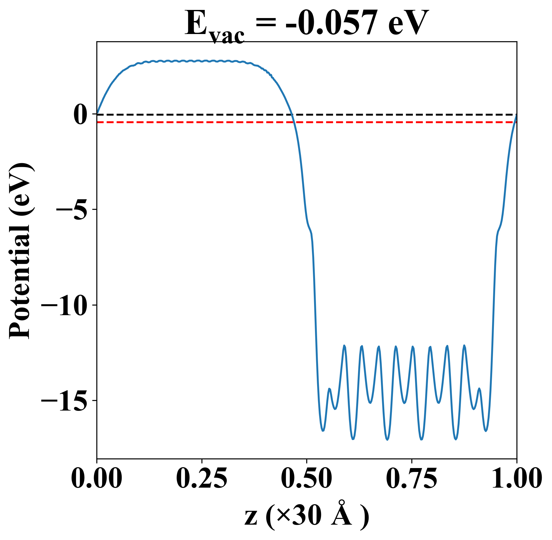
| Vacuum level |
-0.057 eV |
| VBM |
-0.742 eV |
| CBM |
1.824 eV |
| Work function |
0.393 eV |
| Direct gap |
Yes |
| Property |
Value |
| Band gap |
2.59 eV |
| E-fermi |
-0.480 eV |
| VBM |
-0.715 eV |
| CBM |
1.871 eV |
| Free energy (eV) |
-74.290 |
| Free energy / atom (eV) |
-5.715 |
| Property |
Value |
| Band gap |
2.57 eV |
| E-fermi |
-0.450 eV |
| Vacuum level |
-0.057 eV |
| VBM |
-0.742 eV |
| CBM |
1.824 eV |
| Work function |
0.393 eV |
| Cij (N/m) |
xx |
yy |
xy |
| xx |
368.079 |
96.827 |
0.000 |
| yy |
96.827 |
368.079 |
-0.000 |
| xy |
0.000 |
-0.000 |
135.626 |
| Phonon mode at Γ point (THz) |
| -0.017 |
| -0.010 |
| -0.010 |
| 2.035 |
| 2.035 |
| 3.621 |
| 3.859 |
| 3.859 |
| 5.485 |
| 5.485 |
| 6.861 |
| 6.861 |
| 7.138 |
| 9.089 |
| 9.089 |
| 9.157 |
| 9.157 |
| 10.065 |
| 10.065 |
| 10.222 |
| 10.222 |
| 10.390 |
| 10.390 |
| 10.427 |
| 10.522 |
| 10.522 |
| 11.450 |
| 11.450 |
| 11.450 |
| 11.450 |
| 13.245 |
| 15.678 |
| 17.015 |
| 18.265 |
| 18.418 |
| 19.186 |
| 19.612 |
| 115.616 |
| 115.618 |
| Property |
Value |
| from where |
JVASP-27954 |