H2Mg4O5
MatHub2d-655-H2Mg4O5
| Property |
Value |
| Space group |
(164, 'P-3m1') |
| Crystal system |
hexagonal |
| Magnetic |
No |
| Band gap (PBE) (eV) |
2.59 |
| Free energy (eV) |
-62.387 |
| Free energy / atom (eV) |
-5.672 |
Lattice Parameters (basic)
| a, b, c (Å): | 3.037 | 3.037 | 30.000 |
| α, β, γ (°): | 90.000 | 90.000 | 120.000 |
Lattice Parameters (computed)
| a, b, c (Å): | 3.050 | 3.050 | 30.000 |
| α, β, γ (°): | 90.000 | 90.000 | 120.000 |
| Property |
Value |
| Band gap |
2.59 eV |
| E-fermi |
-1.073 eV |
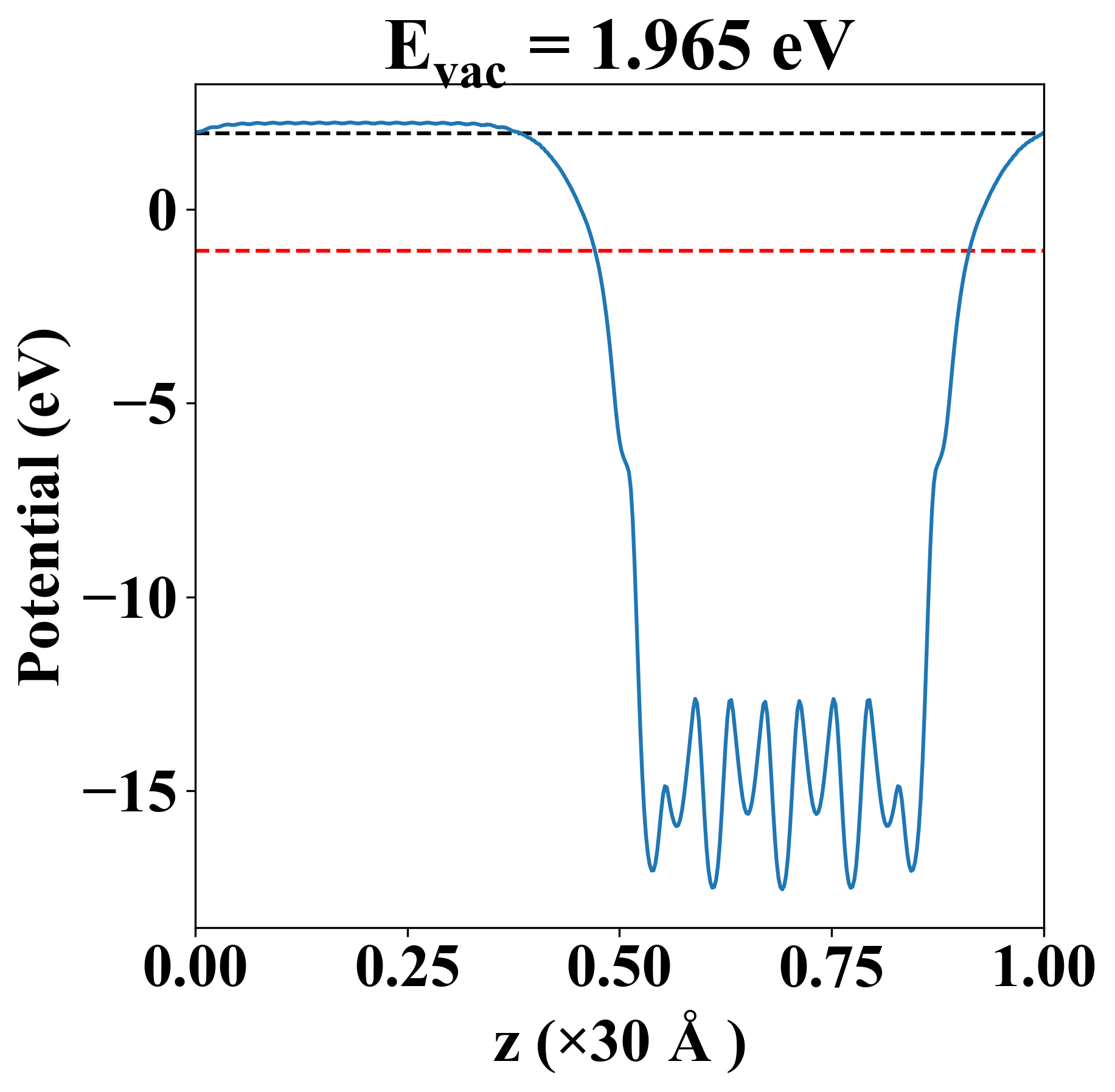
| Vacuum level |
1.965 eV |
| VBM |
-1.308 eV |
| CBM |
1.284 eV |
| Work function |
3.038 eV |
| Direct gap |
Yes |
| Property |
Value |
| Band gap |
2.59 eV |
| E-fermi |
-1.003 eV |
| VBM |
-1.288 eV |
| CBM |
1.307 eV |
| Free energy (eV) |
-62.388 |
| Free energy / atom (eV) |
-5.672 |
| Property |
Value |
| Band gap |
2.59 eV |
| E-fermi |
-1.073 eV |
| Vacuum level |
1.965 eV |
| VBM |
-1.308 eV |
| CBM |
1.284 eV |
| Work function |
3.038 eV |
| Cij (N/m) |
xx |
yy |
xy |
| xx |
292.345 |
79.481 |
0.000 |
| yy |
79.481 |
292.345 |
-0.000 |
| xy |
0.000 |
-0.000 |
106.432 |
| Phonon mode at Γ point (THz) |
| -0.009 |
| -0.009 |
| -0.008 |
| 2.451 |
| 2.451 |
| 4.428 |
| 4.578 |
| 4.578 |
| 6.438 |
| 6.438 |
| 8.683 |
| 9.155 |
| 9.155 |
| 9.355 |
| 9.355 |
| 10.187 |
| 10.187 |
| 10.381 |
| 10.381 |
| 10.435 |
| 10.435 |
| 11.342 |
| 11.342 |
| 11.345 |
| 11.345 |
| 12.428 |
| 15.485 |
| 17.208 |
| 18.350 |
| 18.913 |
| 19.322 |
| 115.446 |
| 115.446 |
| Property |
Value |
| from where |
JVASP-27955 |