H2Mg3O4
MatHub2d-654-H2Mg3O4
| Property |
Value |
| Space group |
(164, 'P-3m1') |
| Crystal system |
hexagonal |
| Magnetic |
No |
| Band gap (PBE) (eV) |
2.62 |
| Free energy (eV) |
-50.490 |
| Free energy / atom (eV) |
-5.610 |
Lattice Parameters (basic)
| a, b, c (Å): | 3.051 | 3.051 | 30.000 |
| α, β, γ (°): | 90.000 | 90.000 | 120.000 |
Lattice Parameters (computed)
| a, b, c (Å): | 3.067 | 3.067 | 30.000 |
| α, β, γ (°): | 90.000 | 90.000 | 120.000 |
| Property |
Value |
| Band gap |
2.62 eV |
| E-fermi |
-1.679 eV |
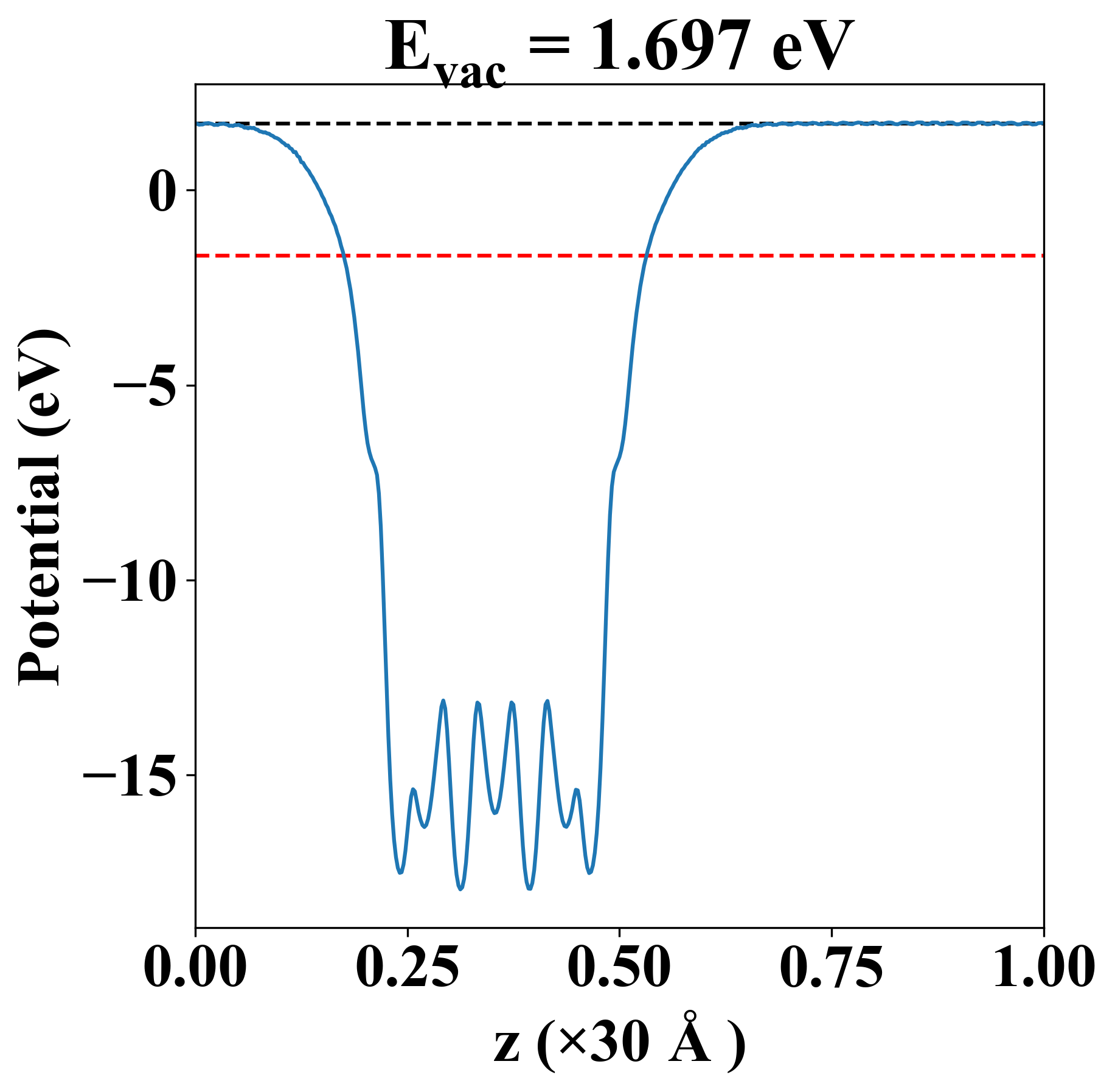
| Vacuum level |
1.697 eV |
| VBM |
-1.896 eV |
| CBM |
0.727 eV |
| Work function |
3.376 eV |
| Direct gap |
Yes |
| Property |
Value |
| Band gap |
2.57 eV |
| E-fermi |
-1.605 eV |
| VBM |
-1.893 eV |
| CBM |
0.674 eV |
| Free energy (eV) |
-50.490 |
| Free energy / atom (eV) |
-5.610 |
| Property |
Value |
| Band gap |
2.62 eV |
| E-fermi |
-1.679 eV |
| Vacuum level |
1.697 eV |
| VBM |
-1.896 eV |
| CBM |
0.727 eV |
| Work function |
3.376 eV |
| Cij (N/m) |
xx |
yy |
xy |
| xx |
216.515 |
61.862 |
0.000 |
| yy |
61.862 |
216.515 |
-0.000 |
| xy |
0.000 |
-0.000 |
77.327 |
| Phonon mode at Γ point (THz) |
| -0.015 |
| -0.005 |
| -0.005 |
| 3.068 |
| 3.068 |
| 5.642 |
| 5.642 |
| 5.713 |
| 9.054 |
| 9.054 |
| 9.483 |
| 9.483 |
| 10.583 |
| 10.583 |
| 10.598 |
| 10.598 |
| 11.001 |
| 11.159 |
| 11.159 |
| 11.193 |
| 11.193 |
| 15.212 |
| 17.355 |
| 18.792 |
| 18.853 |
| 115.330 |
| 115.331 |
| Property |
Value |
| from where |
JVASP-27956 |