H2Mg2O3
MatHub2d-653-H2Mg2O3
| Property |
Value |
| Space group |
(164, 'P-3m1') |
| Crystal system |
hexagonal |
| Magnetic |
No |
| Band gap (PBE) (eV) |
2.50 |
| Free energy (eV) |
-38.608 |
| Free energy / atom (eV) |
-5.515 |
Lattice Parameters (basic)
| a, b, c (Å): | 3.078 | 3.078 | 30.000 |
| α, β, γ (°): | 90.000 | 90.000 | 120.000 |
Lattice Parameters (computed)
| a, b, c (Å): | 3.093 | 3.093 | 30.000 |
| α, β, γ (°): | 90.000 | 90.000 | 120.000 |
| Property |
Value |
| Band gap |
2.50 eV |
| E-fermi |
-2.095 eV |
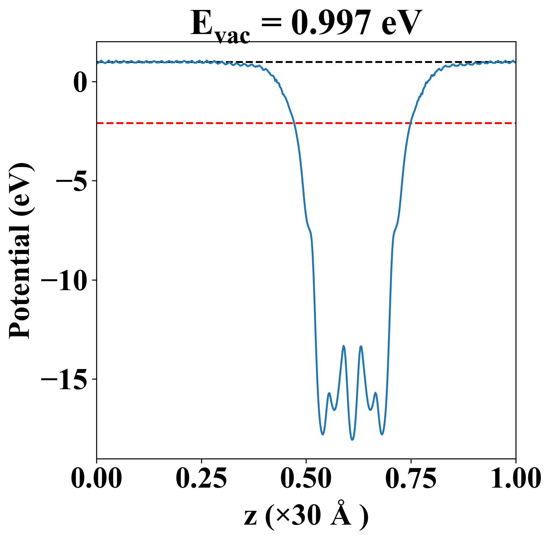
| Vacuum level |
0.997 eV |
| VBM |
-2.366 eV |
| CBM |
0.134 eV |
| Work function |
3.092 eV |
| Direct gap |
Yes |
| Property |
Value |
| Band gap |
2.63 eV |
| E-fermi |
-2.236 eV |
| VBM |
-2.532 eV |
| CBM |
0.100 eV |
| Free energy (eV) |
-38.606 |
| Free energy / atom (eV) |
-5.515 |
| Property |
Value |
| Band gap |
2.50 eV |
| E-fermi |
-2.095 eV |
| Vacuum level |
0.997 eV |
| VBM |
-2.366 eV |
| CBM |
0.134 eV |
| Work function |
3.092 eV |
| Cij (N/m) |
xx |
yy |
xy |
| xx |
142.412 |
44.268 |
-0.000 |
| yy |
44.268 |
142.412 |
0.000 |
| xy |
-0.000 |
0.000 |
49.072 |
| Phonon mode at Γ point (THz) |
| -0.010 |
| -0.010 |
| -0.010 |
| 4.017 |
| 4.017 |
| 7.980 |
| 8.441 |
| 8.441 |
| 10.774 |
| 10.774 |
| 10.783 |
| 10.783 |
| 10.968 |
| 10.968 |
| 11.163 |
| 11.163 |
| 14.623 |
| 17.643 |
| 18.607 |
| 115.097 |
| 115.103 |
| Property |
Value |
| from where |
JVASP-27957 |