H2Mg1O2
MatHub2d-652-H2Mg1O2
| Property |
Value |
| Space group |
(164, 'P-3m1') |
| Crystal system |
hexagonal |
| Magnetic |
No |
| Band gap (PBE) (eV) |
3.30 |
| Free energy (eV) |
-26.794 |
| Free energy / atom (eV) |
-5.359 |
Lattice Parameters (basic)
| a, b, c (Å): | 3.154 | 3.154 | 30.000 |
| α, β, γ (°): | 90.000 | 90.000 | 120.000 |
Lattice Parameters (computed)
| a, b, c (Å): | 3.173 | 3.173 | 30.000 |
| α, β, γ (°): | 90.000 | 90.000 | 120.000 |
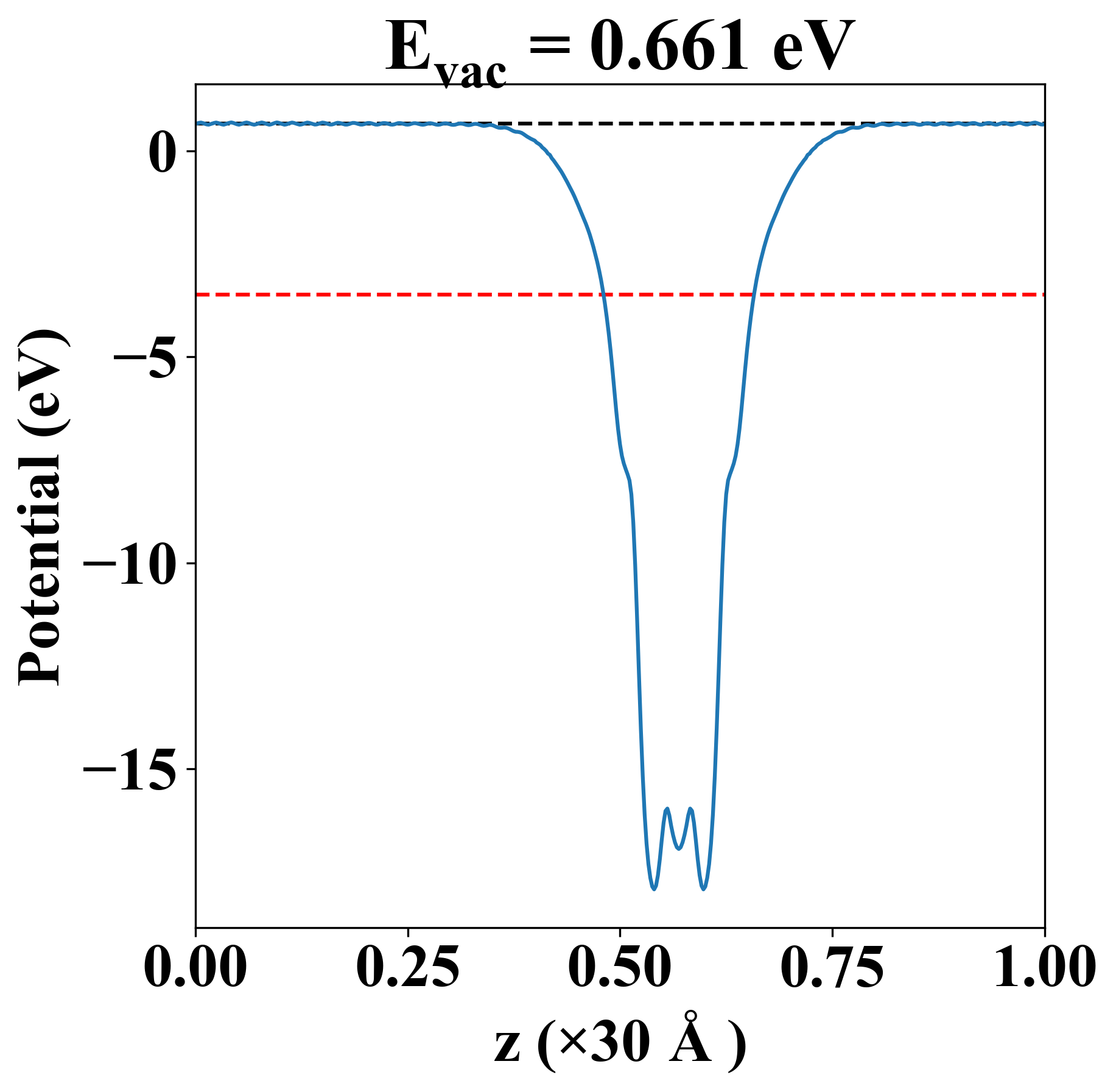
| Property |
Value |
| Band gap |
3.30 eV |
| E-fermi |
-3.493 eV |
| Vacuum level |
0.661 eV |
| VBM |
-3.800 eV |
| CBM |
-0.500 eV |
| Work function |
4.154 eV |
| Direct gap |
Yes |
| Property |
Value |
| Band gap |
3.26 eV |
| E-fermi |
-3.549 eV |
| VBM |
-3.791 eV |
| CBM |
-0.530 eV |
| Free energy (eV) |
-26.794 |
| Free energy / atom (eV) |
-5.359 |
| Property |
Value |
| Band gap |
3.30 eV |
| E-fermi |
-3.493 eV |
| Vacuum level |
0.661 eV |
| VBM |
-3.800 eV |
| CBM |
-0.500 eV |
| Work function |
4.154 eV |
| Cij (N/m) |
xx |
yy |
xy |
| xx |
73.209 |
20.454 |
0.000 |
| yy |
20.454 |
73.209 |
0.000 |
| xy |
0.000 |
0.000 |
26.378 |
| Phonon mode at Γ point (THz) |
| -0.017 |
| -0.017 |
| -0.008 |
| 7.921 |
| 7.921 |
| 10.661 |
| 10.661 |
| 12.489 |
| 12.489 |
| 13.145 |
| 13.359 |
| 13.359 |
| 17.494 |
| 114.776 |
| 114.943 |
| Property |
Value |
| from where |
JVASP-27958 |