Ge6Sb2
MatHub2d-651-Ge6Sb2
| Property |
Value |
| Space group |
(191, 'P6/mmm') |
| Crystal system |
hexagonal |
| Magnetic |
No |
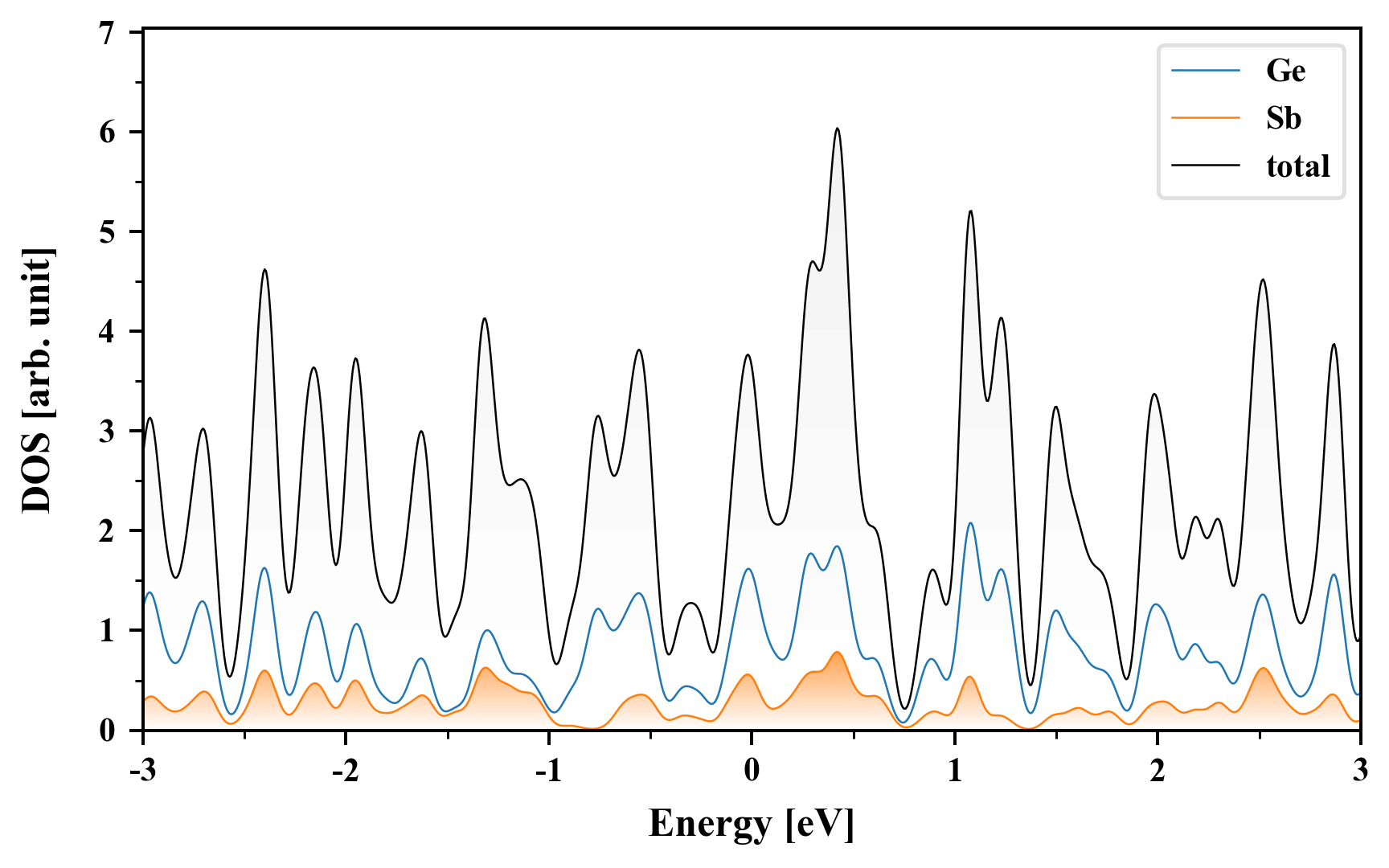
| Band gap (PBE) (eV) |
0.00 |
| Free energy (eV) |
-29.702 |
| Free energy / atom (eV) |
-3.713 |
Lattice Parameters (basic)
| a, b, c (Å): | 8.792 | 8.792 | 30.000 |
| α, β, γ (°): | 90.000 | 90.000 | 120.000 |
Lattice Parameters (computed)
| a, b, c (Å): | 8.778 | 8.778 | 30.000 |
| α, β, γ (°): | 90.000 | 90.000 | 120.000 |
| Property |
Value |
| Band gap |
0.00 eV |
| E-fermi |
-3.538 eV |
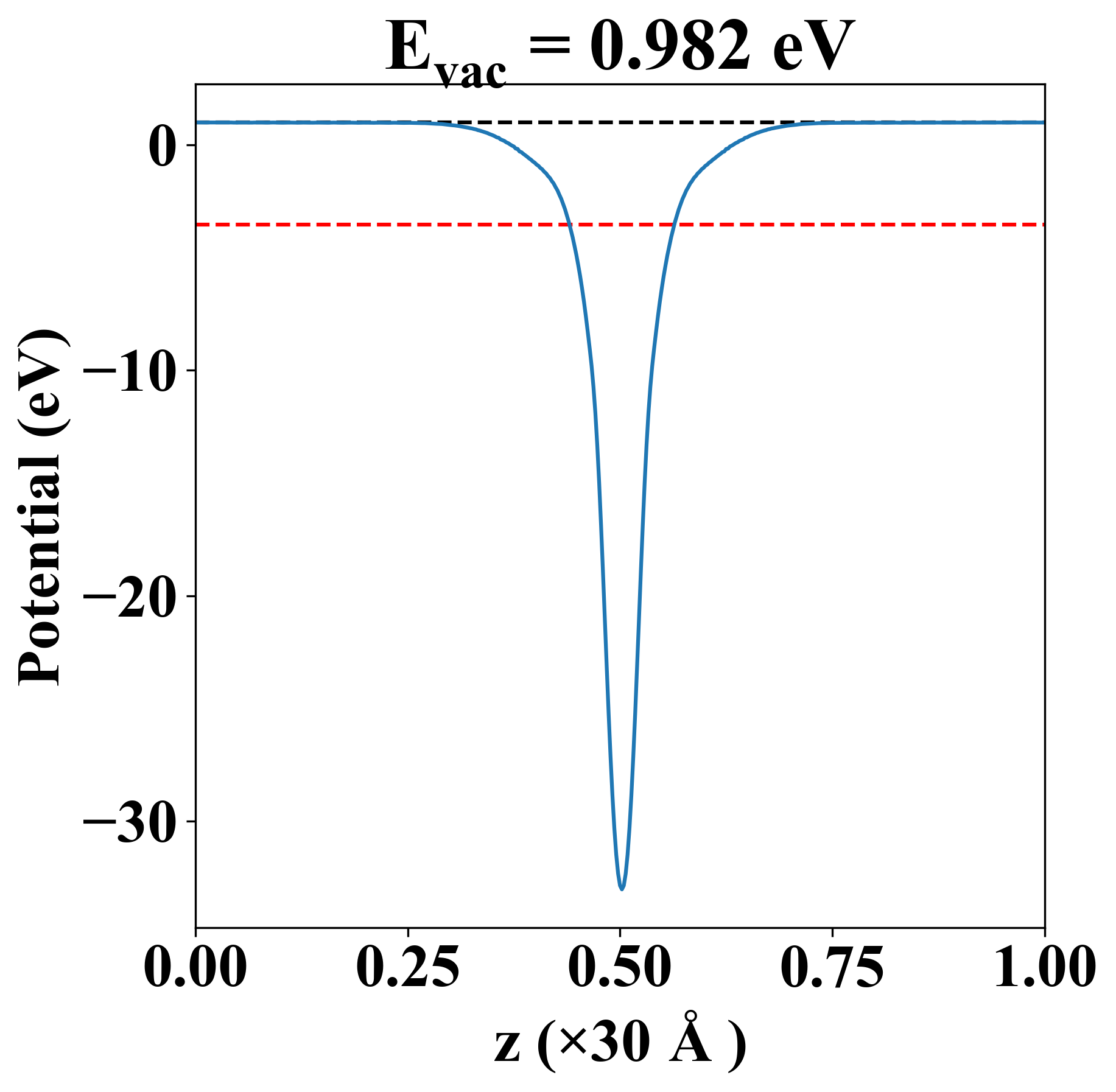
| Vacuum level |
0.982 eV |
| VBM |
-3.541 eV |
| CBM |
-3.538 eV |
| Work function |
4.520 eV |
| Direct gap |
No |
| Property |
Value |
| Band gap |
0.00 eV |
| E-fermi |
-3.538 eV |
| Vacuum level |
0.982 eV |
| VBM |
-3.541 eV |
| CBM |
-3.538 eV |
| Work function |
4.520 eV |
| Cij (N/m) |
xx |
yy |
xy |
| xx |
18.775 |
40.429 |
-0.000 |
| yy |
40.429 |
18.775 |
0.000 |
| xy |
-0.000 |
0.000 |
-10.827 |
| Phonon mode at Γ point (THz) |
| -3.435 |
| -2.094 |
| -1.700 |
| -1.700 |
| -1.168 |
| -1.106 |
| -1.106 |
| -0.009 |
| -0.009 |
| 0.018 |
| 1.016 |
| 1.016 |
| 1.297 |
| 4.535 |
| 4.535 |
| 4.704 |
| 5.014 |
| 5.014 |
| 5.897 |
| 6.431 |
| 6.431 |
| 7.379 |
| 7.379 |
| 8.229 |
| Property |
Value |
| from where |
c2db-723 |