Ge6P2
MatHub2d-650-Ge6P2
| Property |
Value |
| Space group |
(191, 'P6/mmm') |
| Crystal system |
hexagonal |
| Magnetic |
|
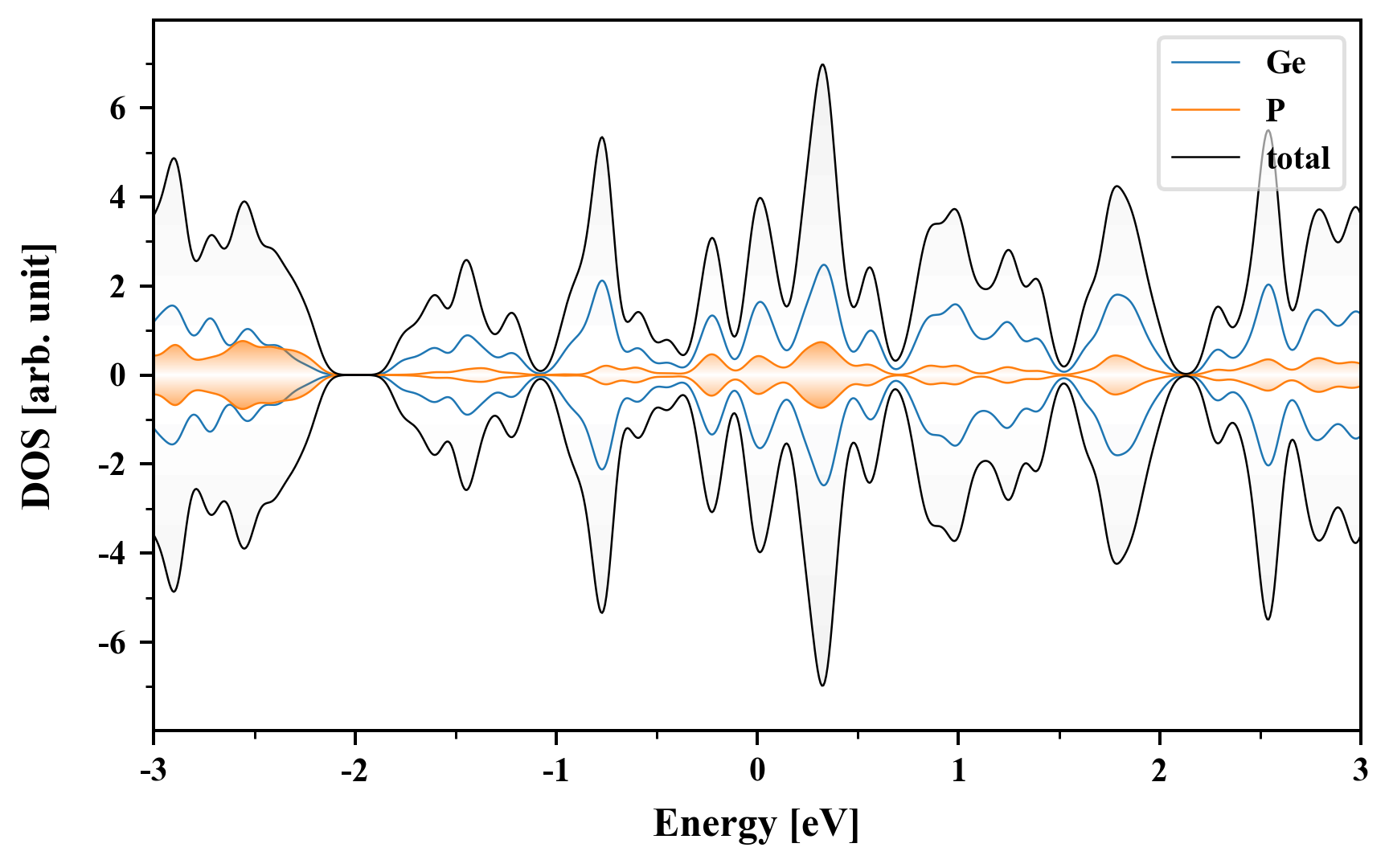
| Band gap (PBE) (eV) |
0.00 |
| Free energy (eV) |
-32.611 |
| Free energy / atom (eV) |
-4.076 |
Lattice Parameters (basic)
| a, b, c (Å): | 8.286 | 8.286 | 30.000 |
| α, β, γ (°): | 90.000 | 90.000 | 120.000 |
Lattice Parameters (computed)
| a, b, c (Å): | 8.223 | 8.223 | 30.000 |
| α, β, γ (°): | 90.000 | 90.000 | 120.000 |
| Property |
Value |
| Band gap |
0.00 eV |
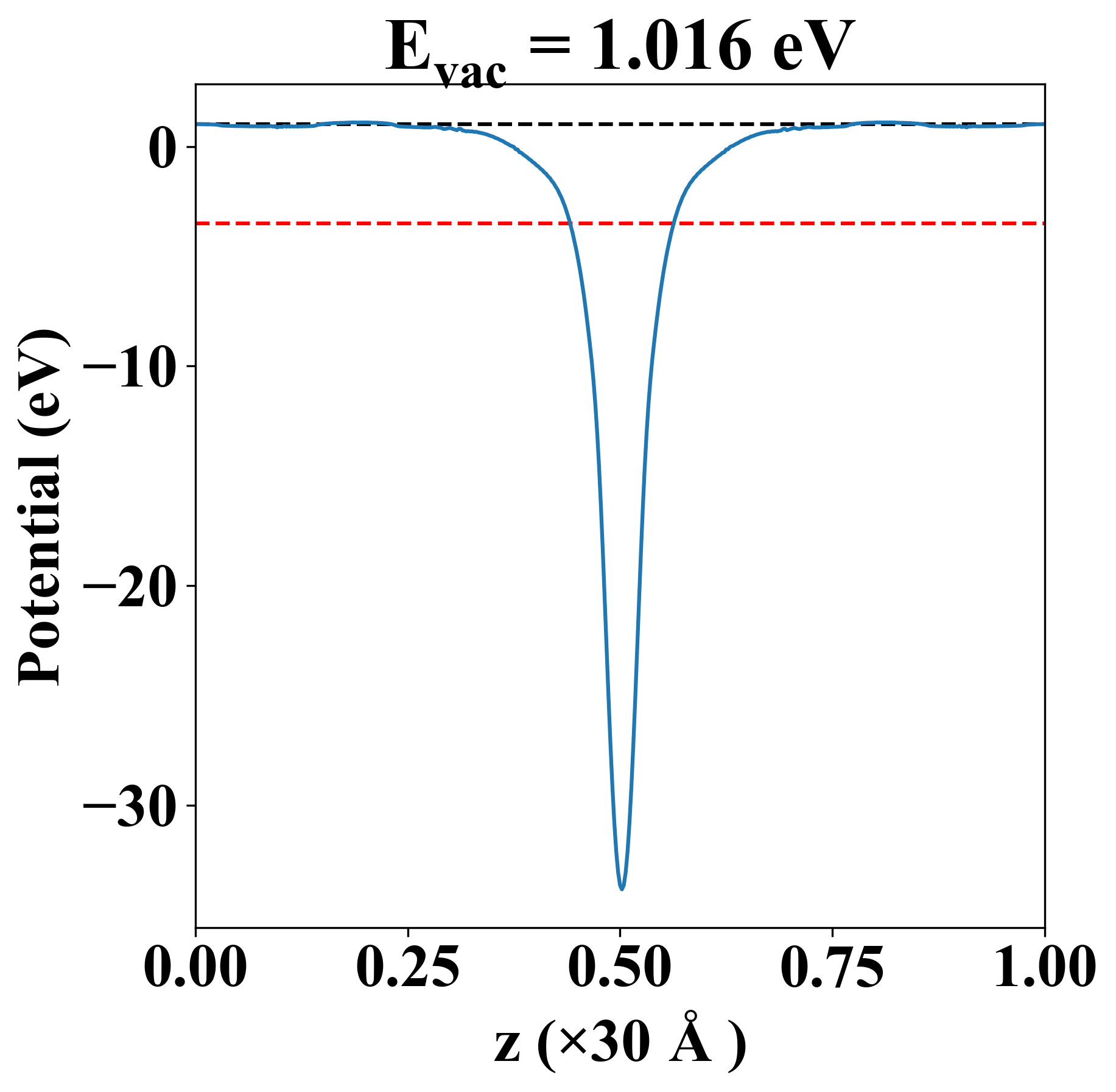
| E-fermi |
-3.514 eV |
| Vacuum level |
1.016 eV |
| VBM |
-3.514 eV |
| CBM |
-3.513 eV |
| Work function |
4.530 eV |
| Direct gap |
Yes |
| Property |
Value |
| Band gap |
0.00 eV |
| E-fermi |
-3.514 eV |
| Vacuum level |
1.016 eV |
| VBM |
-3.514 eV |
| CBM |
-3.513 eV |
| Work function |
4.530 eV |
| Cij (N/m) |
xx |
yy |
xy |
| xx |
10.570 |
45.729 |
0.000 |
| yy |
45.729 |
10.570 |
-0.000 |
| xy |
0.000 |
-0.000 |
-17.579 |
| Phonon mode at Γ point (THz) |
| -3.667 |
| -3.472 |
| -2.920 |
| -2.920 |
| -1.751 |
| -1.751 |
| -1.435 |
| -0.006 |
| -0.006 |
| 0.012 |
| 1.311 |
| 1.311 |
| 1.455 |
| 5.769 |
| 5.923 |
| 5.923 |
| 5.998 |
| 5.998 |
| 6.279 |
| 7.211 |
| 9.542 |
| 9.542 |
| 10.400 |
| 10.400 |
| Property |
Value |
| from where |
c2db-722 |