Ge6N2
MatHub2d-649-Ge6N2
| Property |
Value |
| Space group |
(191, 'P6/mmm') |
| Crystal system |
hexagonal |
| Magnetic |
No |
| Band gap (PBE) (eV) |
0.00 |
| Free energy (eV) |
-38.055 |
| Free energy / atom (eV) |
-4.757 |
Lattice Parameters (basic)
| a, b, c (Å): | 7.726 | 7.726 | 30.000 |
| α, β, γ (°): | 90.000 | 90.000 | 120.000 |
Lattice Parameters (computed)
| a, b, c (Å): | 7.721 | 7.721 | 30.000 |
| α, β, γ (°): | 90.000 | 90.000 | 120.000 |
| Property |
Value |
| Band gap |
0.00 eV |
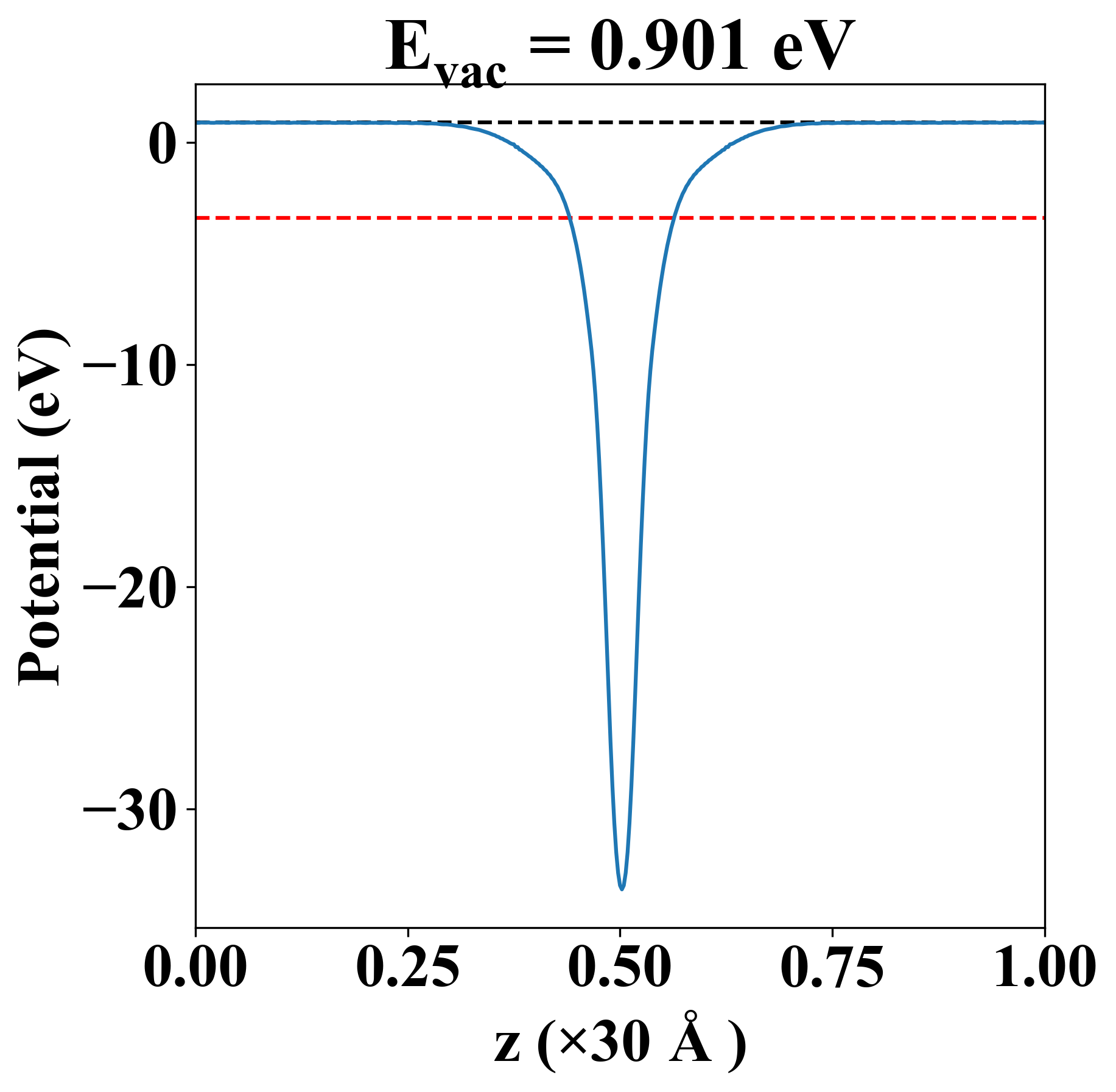
| E-fermi |
-3.387 eV |
| Vacuum level |
0.901 eV |
| VBM |
-3.389 eV |
| CBM |
-3.385 eV |
| Work function |
4.288 eV |
| Direct gap |
No |
| Property |
Value |
| Band gap |
0.00 eV |
| E-fermi |
-3.387 eV |
| Vacuum level |
0.901 eV |
| VBM |
-3.389 eV |
| CBM |
-3.385 eV |
| Work function |
4.288 eV |
| Cij (N/m) |
xx |
yy |
xy |
| xx |
19.692 |
31.729 |
0.000 |
| yy |
31.729 |
19.692 |
-0.000 |
| xy |
0.000 |
-0.000 |
-6.018 |
| Phonon mode at Γ point (THz) |
| -2.904 |
| -2.904 |
| -2.347 |
| -2.099 |
| -2.099 |
| -0.052 |
| -0.004 |
| -0.003 |
| 2.171 |
| 2.171 |
| 2.706 |
| 3.099 |
| 6.016 |
| 6.016 |
| 6.308 |
| 6.418 |
| 6.418 |
| 6.770 |
| 7.564 |
| 7.851 |
| 15.239 |
| 15.239 |
| 16.445 |
| 16.445 |
| Property |
Value |
| from where |
c2db-721 |