Ge2Te2
MatHub2d-648-Ge2Te2
| Property |
Value |
| Space group |
(164, 'P-3m1') |
| Crystal system |
hexagonal |
| Magnetic |
No |
| Band gap (PBE) (eV) |
0.58 |
| Free energy (eV) |
-15.683 |
| Free energy / atom (eV) |
-3.921 |
Lattice Parameters (basic)
| a, b, c (Å): | 4.078 | 4.078 | 30.000 |
| α, β, γ (°): | 90.000 | 90.000 | 120.000 |
Lattice Parameters (computed)
| a, b, c (Å): | 4.058 | 4.058 | 30.000 |
| α, β, γ (°): | 90.000 | 90.000 | 120.000 |
| Property |
Value |
| Band gap |
0.58 eV |
| E-fermi |
-1.622 eV |
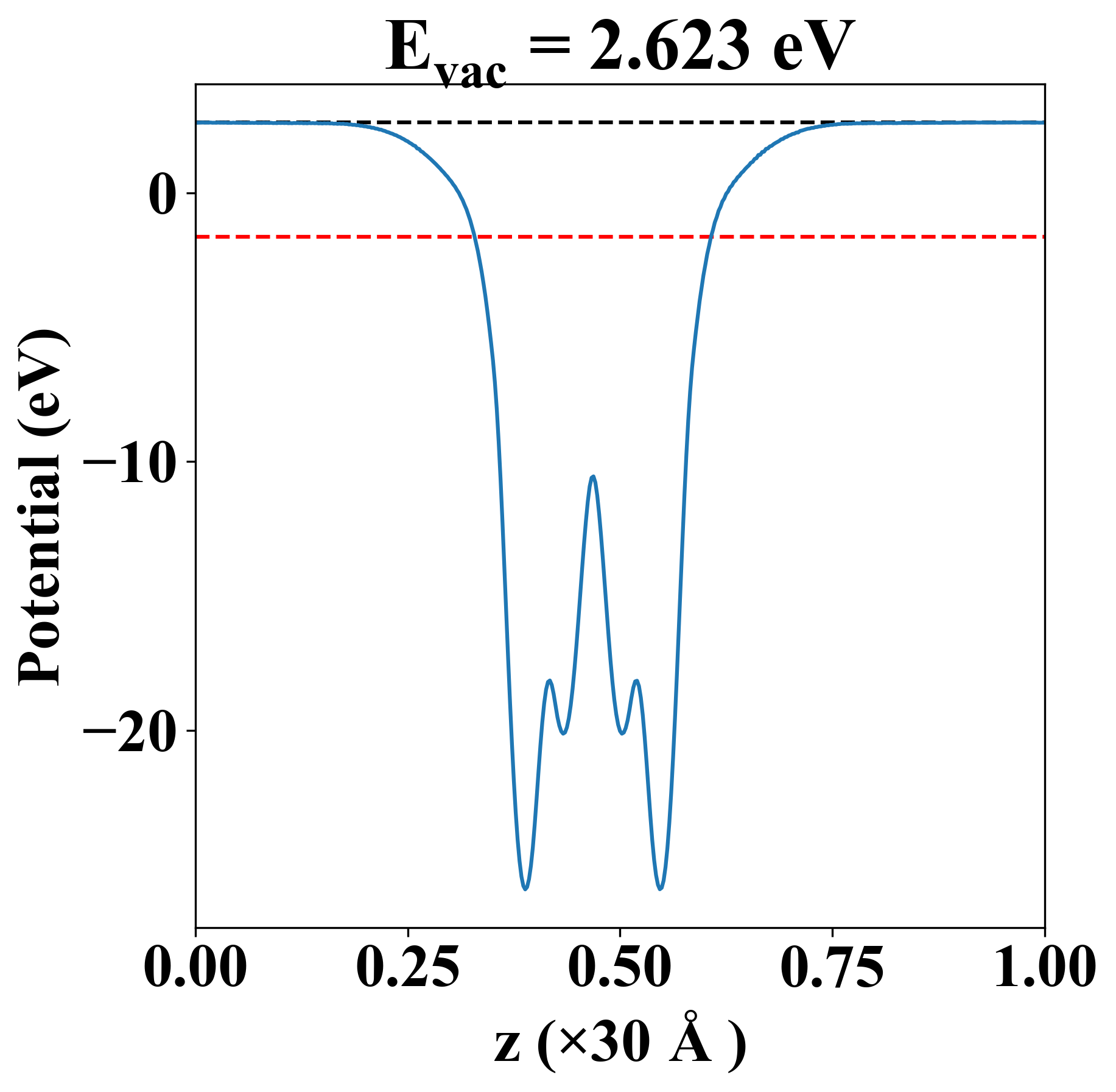
| Vacuum level |
2.623 eV |
| VBM |
-1.870 eV |
| CBM |
-1.289 eV |
| Work function |
4.245 eV |
| Direct gap |
No |
| Property |
Value |
| Band gap |
0.58 eV |
| E-fermi |
-1.622 eV |
| Vacuum level |
2.623 eV |
| VBM |
-1.870 eV |
| CBM |
-1.289 eV |
| Work function |
4.245 eV |
| Cij (N/m) |
xx |
yy |
xy |
| xx |
69.311 |
13.534 |
-0.000 |
| yy |
13.534 |
69.311 |
0.000 |
| xy |
-0.000 |
0.000 |
27.888 |
| Phonon mode at Γ point (THz) |
| -0.007 |
| -0.007 |
| -0.003 |
| 1.366 |
| 1.366 |
| 1.789 |
| 4.163 |
| 4.163 |
| 4.459 |
| 4.459 |
| 5.903 |
| 6.156 |
| Carrier type |
C2D (N/m) |
Edef (eV) |
μ (cm2V-1s-1) |
| x |
y |
x |
y |
x |
y |
| hole |
69.83 |
69.83 |
-6.65 |
-5.91 |
-137.38 |
-173.79 |
| electron |
-9.22 |
-9.20 |
42.04 |
42.17 |
| Property |
Value |
| from where |
sz.tsinghua-45 |