Ge2Se2
MatHub2d-647-Ge2Se2
| Property |
Value |
| Space group |
(164, 'P-3m1') |
| Crystal system |
hexagonal |
| Magnetic |
No |
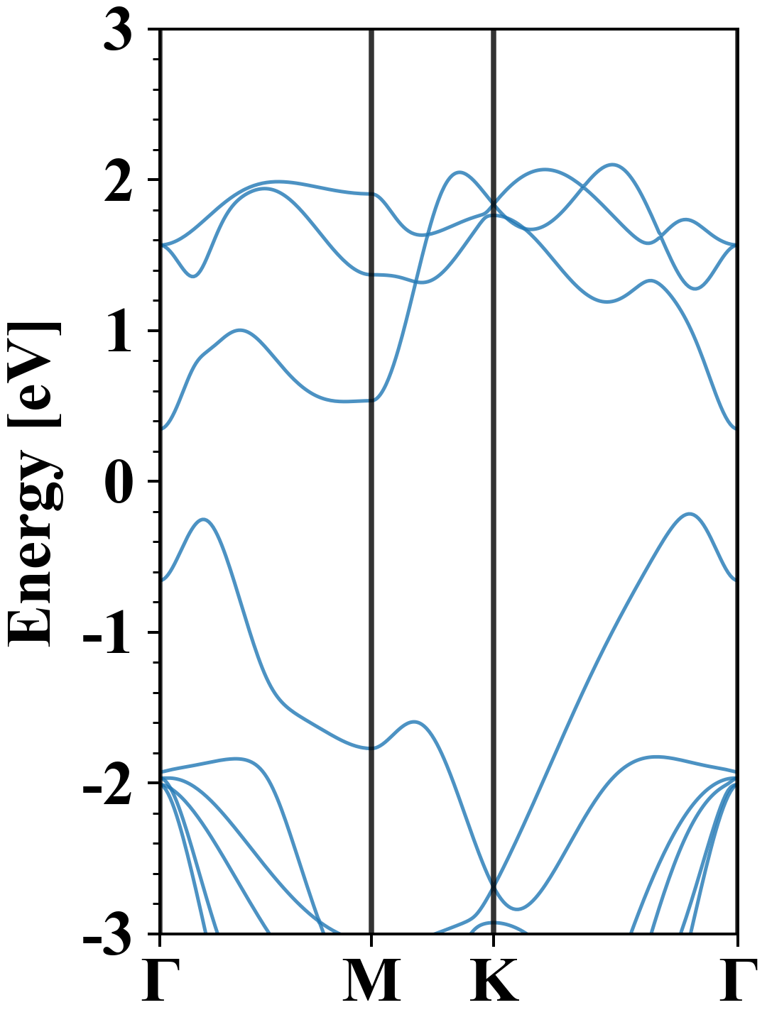
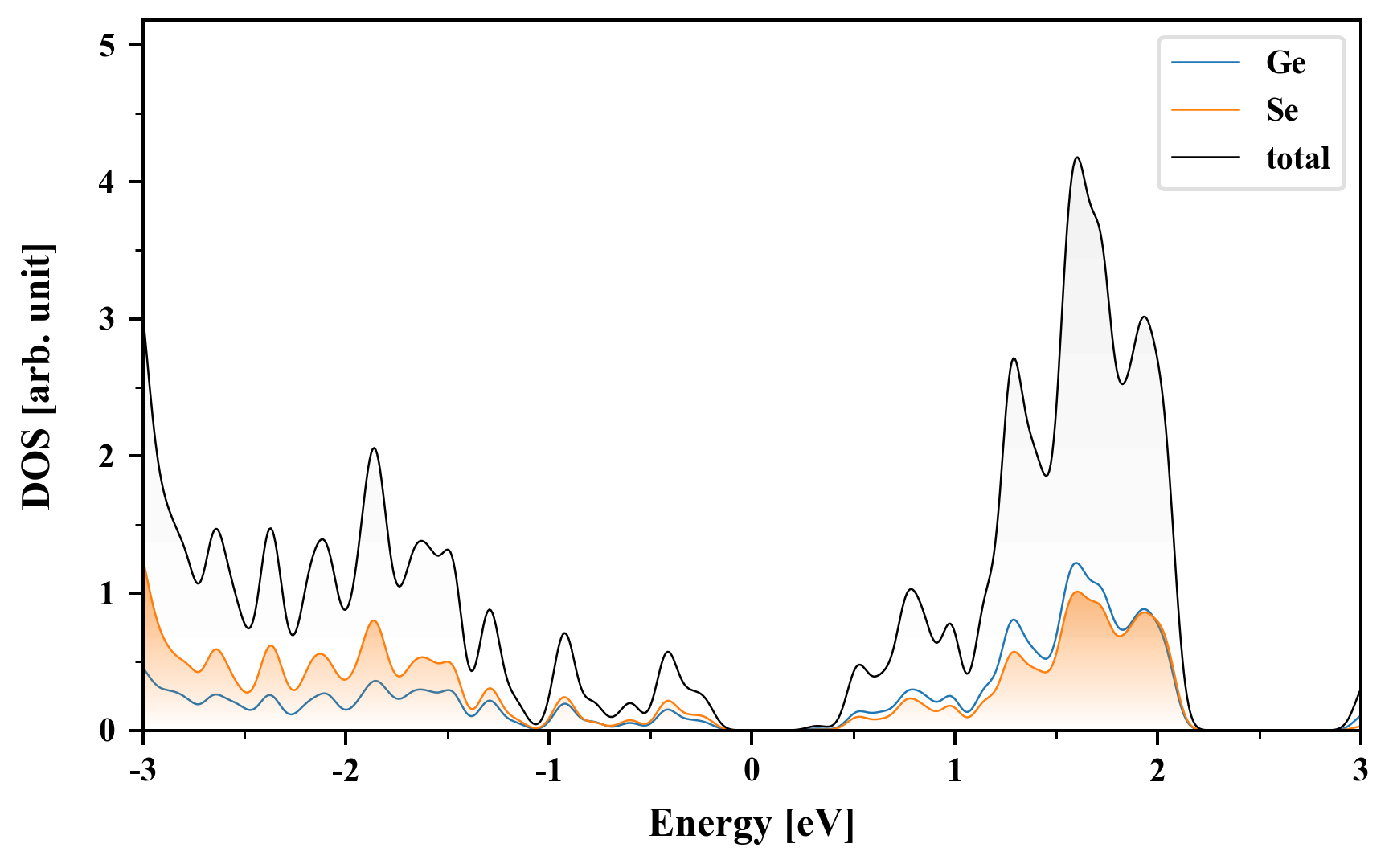
| Band gap (PBE) (eV) |
0.56 |
| Free energy (eV) |
-17.057 |
| Free energy / atom (eV) |
-4.264 |
Lattice Parameters (basic)
| a, b, c (Å): | 3.793 | 3.793 | 30.000 |
| α, β, γ (°): | 90.000 | 90.000 | 120.000 |
Lattice Parameters (computed)
| a, b, c (Å): | 3.799 | 3.799 | 30.000 |
| α, β, γ (°): | 90.000 | 90.000 | 120.000 |
| Property |
Value |
| Band gap |
0.56 eV |
| E-fermi |
-2.242 eV |
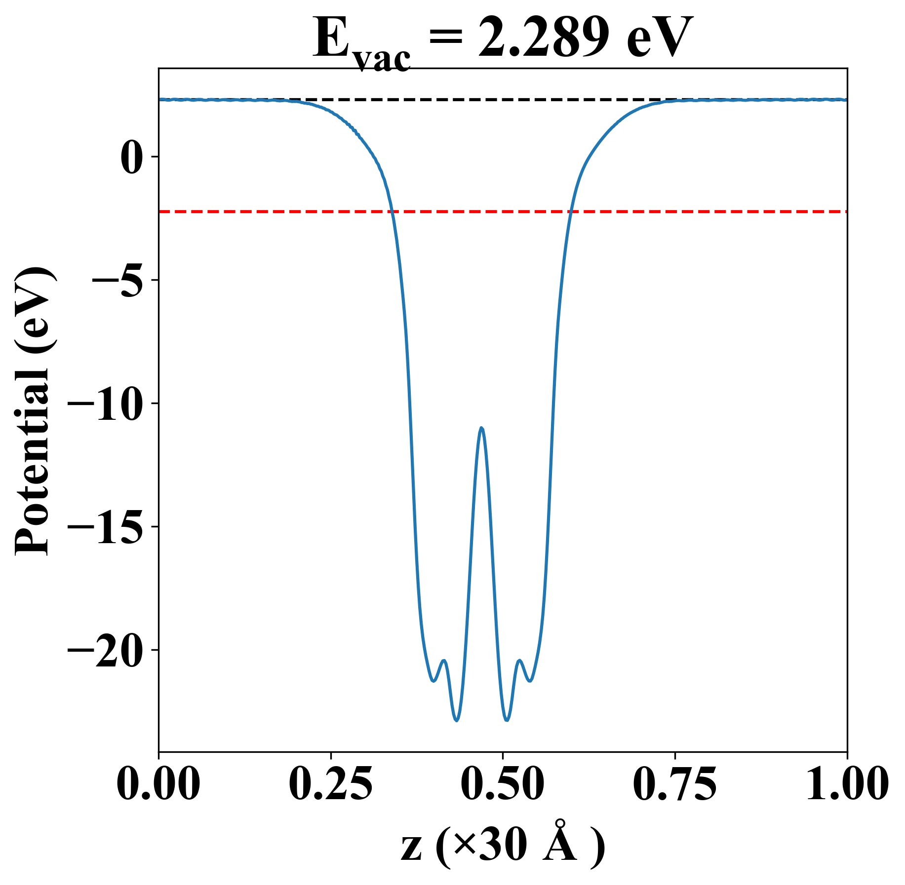
| Vacuum level |
2.289 eV |
| VBM |
-2.458 eV |
| CBM |
-1.896 eV |
| Work function |
4.531 eV |
| Direct gap |
No |
| Property |
Value |
| Band gap |
0.56 eV |
| E-fermi |
-2.242 eV |
| Vacuum level |
2.289 eV |
| VBM |
-2.458 eV |
| CBM |
-1.896 eV |
| Work function |
4.531 eV |
| Cij (N/m) |
xx |
yy |
xy |
| xx |
77.431 |
20.850 |
0.000 |
| yy |
20.850 |
77.431 |
-0.000 |
| xy |
0.000 |
-0.000 |
28.290 |
| Phonon mode at Γ point (THz) |
| -0.015 |
| -0.015 |
| -0.004 |
| 1.872 |
| 1.872 |
| 2.142 |
| 4.824 |
| 4.824 |
| 4.941 |
| 4.941 |
| 6.996 |
| 7.506 |
| Carrier type |
C2D (N/m) |
Edef (eV) |
μ (cm2V-1s-1) |
| x |
y |
x |
y |
x |
y |
| hole |
79.18 |
77.14 |
-6.82 |
-5.75 |
-157.77 |
-216.55 |
| electron |
-8.80 |
-8.78 |
109.94 |
107.66 |
| Property |
Value |
| from where |
sz.tsinghua-43 |