Ge2P2

MatHub2d-645-Ge2P2

Property Value
Space group (187, 'P-6m2')
Crystal system hexagonal
Magnetic No
Band gap (PBE) (eV) 1.35
Free energy (eV) -19.818
Free energy / atom (eV) -4.954

Lattice Parameters (basic)

a, b, c (Å): 3.663 3.663 30.000
α, β, γ (°): 90.000 90.000 120.000

Lattice Parameters (computed)

a, b, c (Å): 3.657 3.657 30.000
α, β, γ (°): 90.000 90.000 120.000
Ge2P2
Property Value
Band gap 1.35 eV
E-fermi -2.974 eV
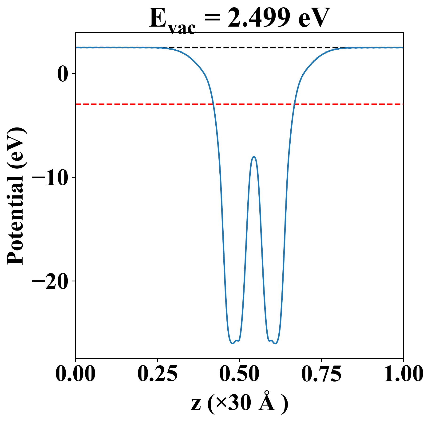
Vacuum level 2.499 eV
VBM -3.226 eV
CBM -1.879 eV
Work function 5.472 eV
Direct gap No
Ge2P2
Property Value
Band gap 1.35 eV
E-fermi -2.985 eV
VBM -3.213 eV
CBM -1.868 eV
Free energy (eV) -19.835
Free energy / atom (eV) -4.959
Ge2P2
Property Value
Band gap 1.35 eV
E-fermi -2.974 eV
Vacuum level 2.499 eV
VBM -3.226 eV
CBM -1.879 eV
Work function 5.472 eV
Cij (N/m) xx yy xy
xx 111.241 21.588 0.000
yy 21.588 111.241 -0.000
xy 0.000 -0.000 44.827
Phonon mode at Γ point (THz)
-0.026
-0.004
-0.004
2.098
2.098
5.148
10.427
10.452
10.452
10.523
10.523
10.968
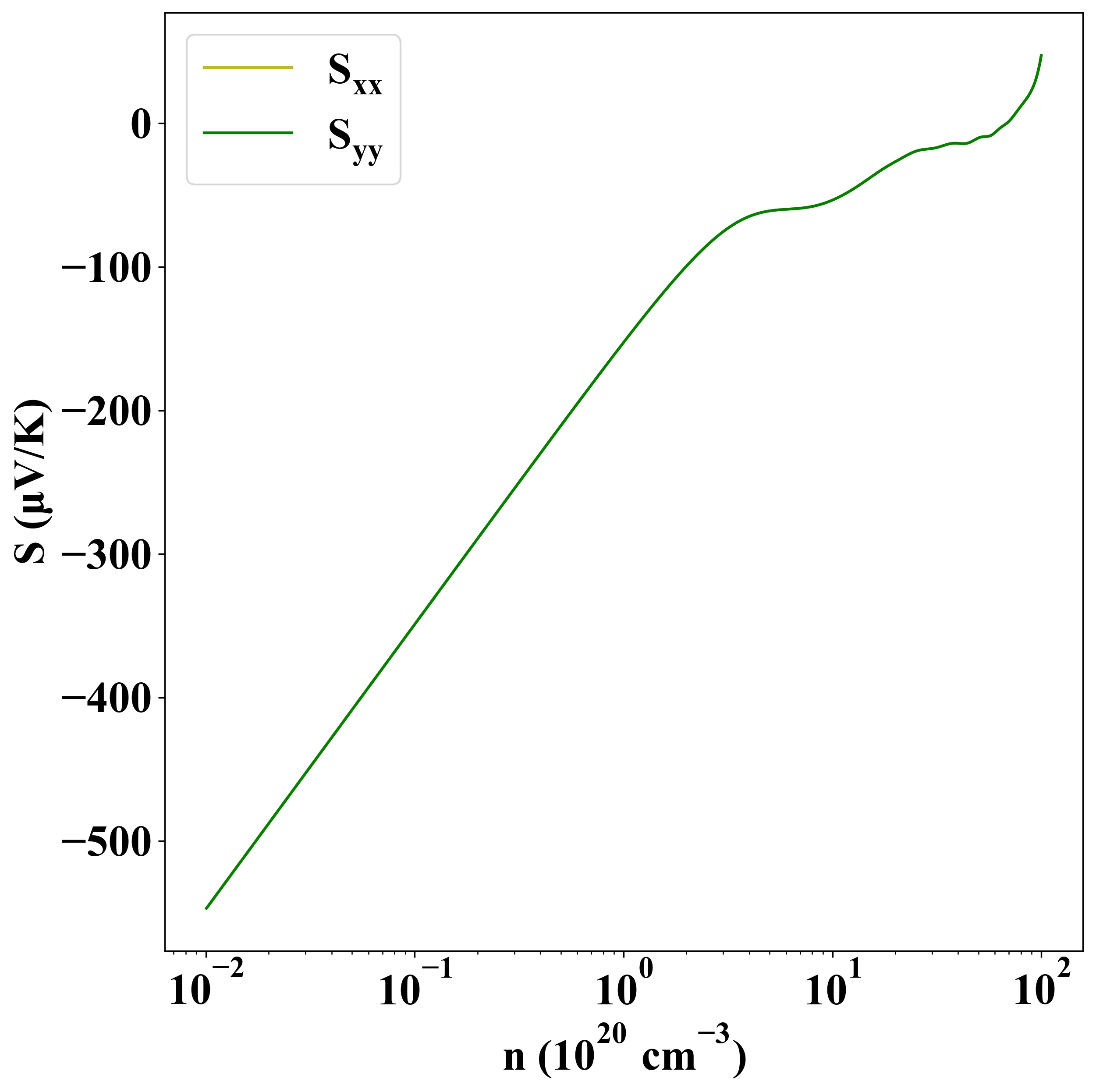
Seebeck
p-type
n-type



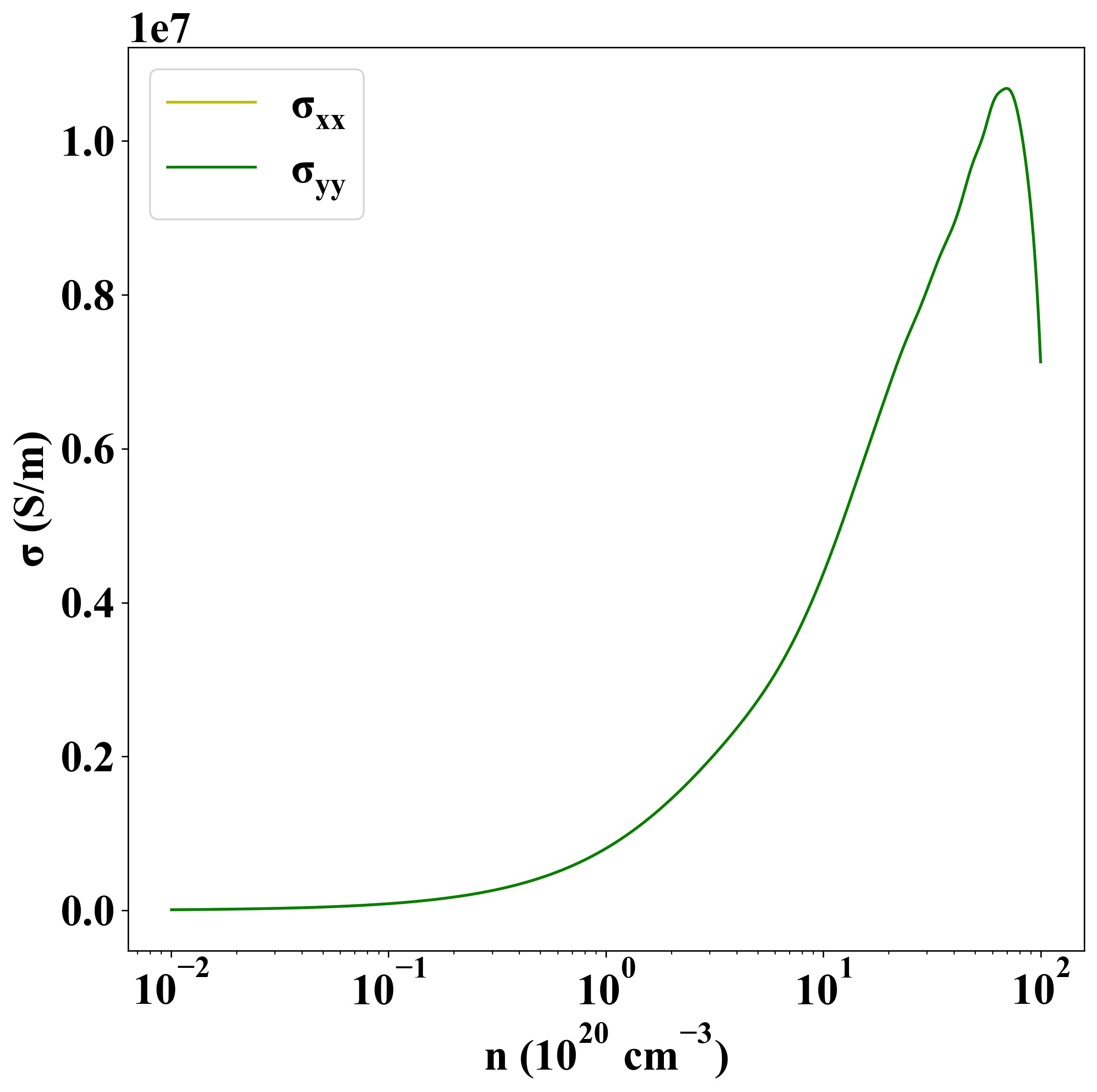
Sigma
p-type
n-type
Property Value
from where sz.tsinghua-36