Ge2P2
MatHub2d-644-Ge2P2
| Property |
Value |
| Space group |
(164, 'P-3m1') |
| Crystal system |
hexagonal |
| Magnetic |
No |
| Band gap (PBE) (eV) |
1.22 |
| Free energy (eV) |
-19.762 |
| Free energy / atom (eV) |
-4.941 |
Lattice Parameters (basic)
| a, b, c (Å): | 3.673 | 3.673 | 30.000 |
| α, β, γ (°): | 90.000 | 90.000 | 120.000 |
Lattice Parameters (computed)
| a, b, c (Å): | 3.669 | 3.669 | 30.000 |
| α, β, γ (°): | 90.000 | 90.000 | 120.000 |
| Property |
Value |
| Band gap |
1.22 eV |
| E-fermi |
-2.989 eV |
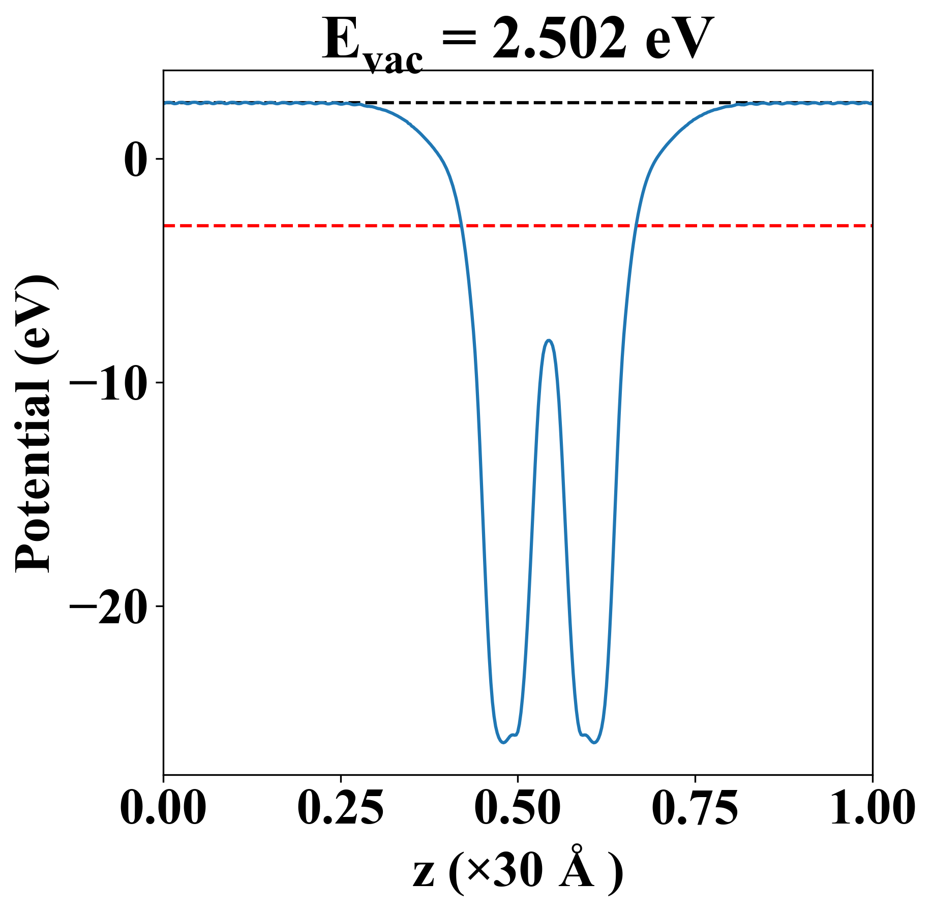
| Vacuum level |
2.502 eV |
| VBM |
-3.210 eV |
| CBM |
-1.986 eV |
| Work function |
5.491 eV |
| Direct gap |
No |
| Property |
Value |
| Band gap |
1.22 eV |
| E-fermi |
-2.963 eV |
| VBM |
-3.201 eV |
| CBM |
-1.979 eV |
| Free energy (eV) |
-19.780 |
| Free energy / atom (eV) |
-4.945 |
| Property |
Value |
| Band gap |
1.22 eV |
| E-fermi |
-2.989 eV |
| Vacuum level |
2.502 eV |
| VBM |
-3.210 eV |
| CBM |
-1.986 eV |
| Work function |
5.491 eV |
| Cij (N/m) |
xx |
yy |
xy |
| xx |
107.619 |
20.859 |
0.000 |
| yy |
20.859 |
107.619 |
-0.000 |
| xy |
0.000 |
-0.000 |
43.380 |
| Phonon mode at Γ point (THz) |
| -0.026 |
| -0.000 |
| -0.000 |
| 2.188 |
| 2.188 |
| 5.121 |
| 10.385 |
| 10.394 |
| 10.394 |
| 10.410 |
| 10.410 |
| 10.992 |
| Property |
Value |
| from where |
sz.tsinghua-37 |