Ge2O6Ti2
MatHub2d-643-Ge2O6Ti2
| Property |
Value |
| Space group |
(147, 'P-3') |
| Crystal system |
hexagonal |
| Magnetic |
No |
| Band gap (PBE) (eV) |
2.13 |
| Free energy (eV) |
-71.430 |
| Free energy / atom (eV) |
-7.143 |
Lattice Parameters (basic)
| a, b, c (Å): | 5.026 | 5.026 | 30.000 |
| α, β, γ (°): | 90.000 | 90.000 | 120.000 |
Lattice Parameters (computed)
| a, b, c (Å): | 5.094 | 5.094 | 30.000 |
| α, β, γ (°): | 90.000 | 90.000 | 120.000 |
| Property |
Value |
| Band gap |
2.13 eV |
| E-fermi |
-3.536 eV |
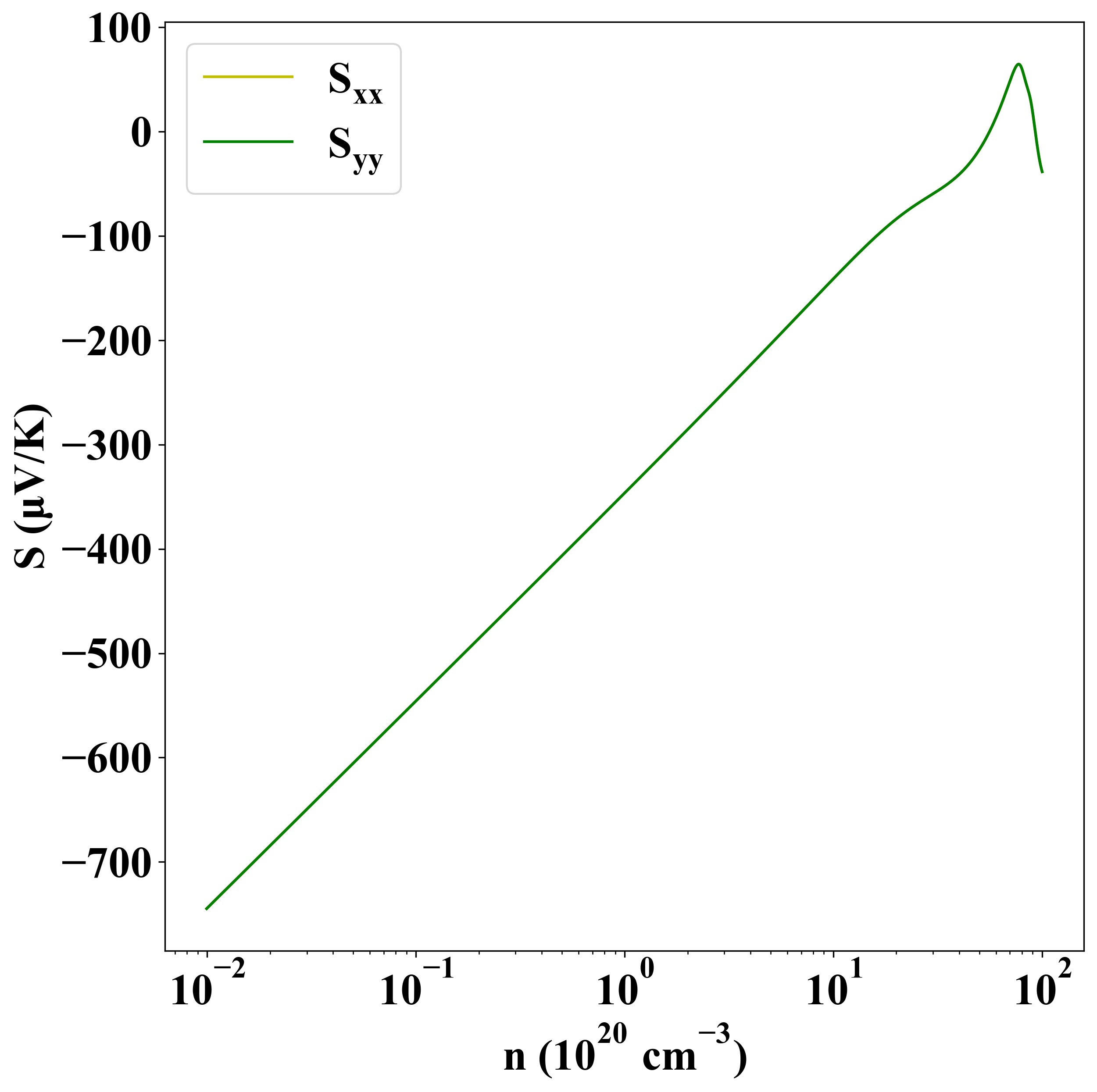
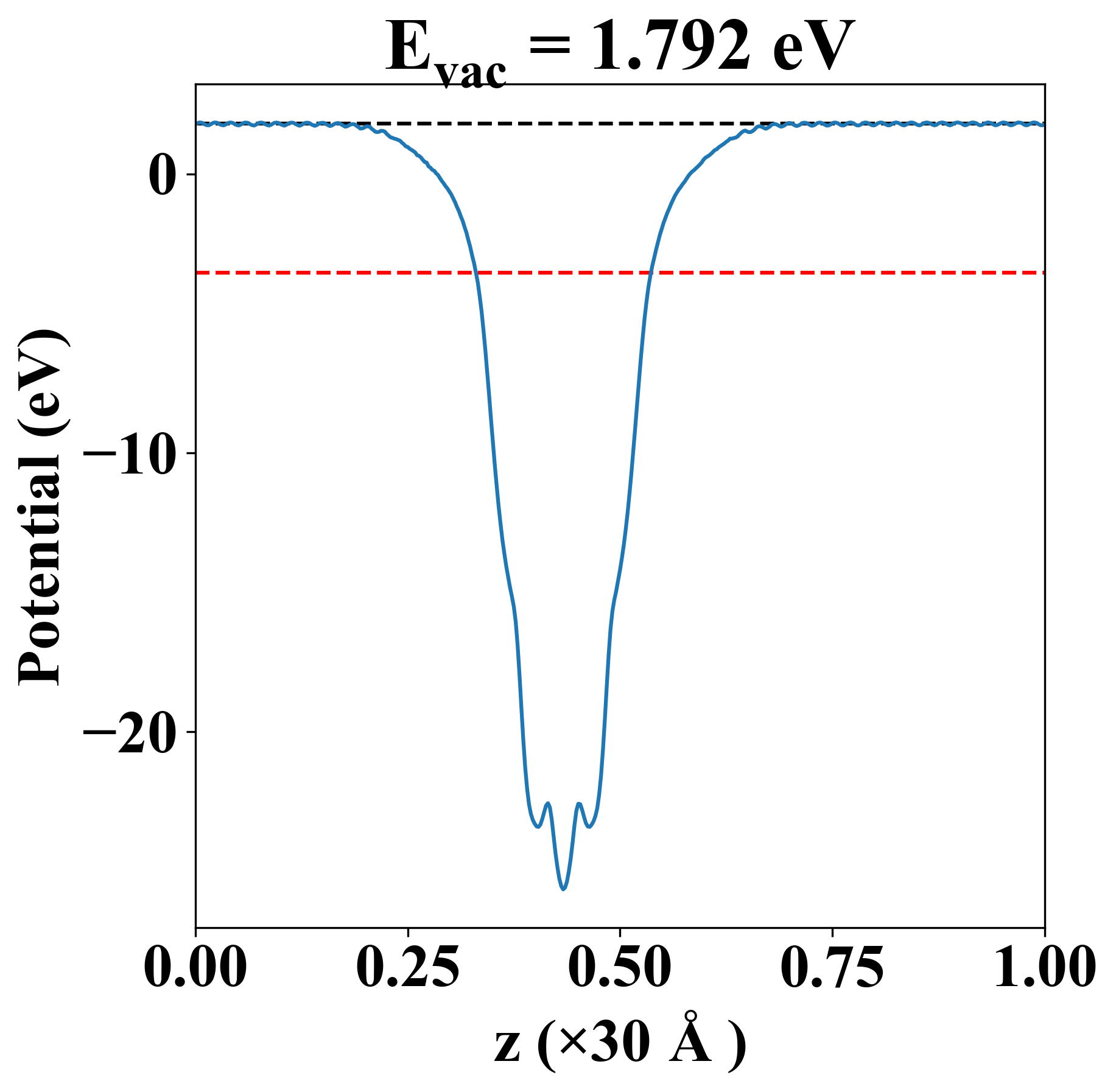
| Vacuum level |
1.792 eV |
| VBM |
-3.801 eV |
| CBM |
-1.667 eV |
| Work function |
5.328 eV |
| Direct gap |
No |
| Property |
Value |
| Band gap |
2.13 eV |
| E-fermi |
-3.361 eV |
| VBM |
-3.802 eV |
| CBM |
-1.667 eV |
| Free energy (eV) |
-71.452 |
| Free energy / atom (eV) |
-7.145 |
| Property |
Value |
| Band gap |
2.13 eV |
| E-fermi |
-3.536 eV |
| Vacuum level |
1.792 eV |
| VBM |
-3.801 eV |
| CBM |
-1.667 eV |
| Work function |
5.328 eV |
| Cij (N/m) |
xx |
yy |
xy |
| xx |
118.843 |
34.493 |
0.000 |
| yy |
34.493 |
118.843 |
0.000 |
| xy |
0.000 |
0.000 |
42.175 |
| Phonon mode at Γ point (THz) |
| -3.405 |
| -0.005 |
| -0.005 |
| -0.004 |
| 3.838 |
| 3.838 |
| 4.874 |
| 4.874 |
| 6.067 |
| 6.461 |
| 6.461 |
| 6.823 |
| 6.823 |
| 7.178 |
| 10.824 |
| 10.851 |
| 10.851 |
| 11.246 |
| 11.380 |
| 11.380 |
| 11.514 |
| 12.239 |
| 12.239 |
| 12.643 |
| 12.643 |
| 13.631 |
| 13.631 |
| 17.244 |
| 18.930 |
| 19.521 |
| Property |
Value |
| from where |
JVASP-28250 |