Ge2N2
MatHub2d-642-Ge2N2
| Property |
Value |
| Space group |
(187, 'P-6m2') |
| Crystal system |
hexagonal |
| Magnetic |
No |
| Band gap (PBE) (eV) |
1.31 |
| Free energy (eV) |
-25.120 |
| Free energy / atom (eV) |
-6.280 |
Lattice Parameters (basic)
| a, b, c (Å): | 3.083 | 3.083 | 30.000 |
| α, β, γ (°): | 90.000 | 90.000 | 120.000 |
Lattice Parameters (computed)
| a, b, c (Å): | 3.078 | 3.078 | 30.000 |
| α, β, γ (°): | 90.000 | 90.000 | 120.000 |
| Property |
Value |
| Band gap |
1.31 eV |
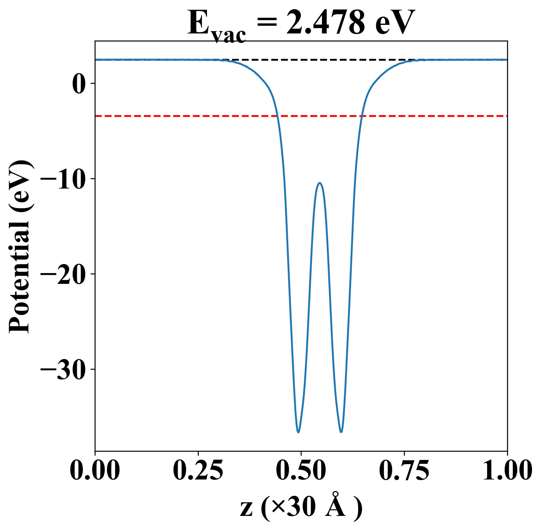
| E-fermi |
-3.451 eV |
| Vacuum level |
2.478 eV |
| VBM |
-3.766 eV |
| CBM |
-2.458 eV |
| Work function |
5.929 eV |
| Direct gap |
No |
| Property |
Value |
| Band gap |
1.31 eV |
| E-fermi |
-3.491 eV |
| VBM |
-3.781 eV |
| CBM |
-2.472 eV |
| Free energy (eV) |
-25.135 |
| Free energy / atom (eV) |
-6.284 |
| Property |
Value |
| Band gap |
1.31 eV |
| E-fermi |
-3.451 eV |
| Vacuum level |
2.478 eV |
| VBM |
-3.766 eV |
| CBM |
-2.458 eV |
| Work function |
5.929 eV |
| Cij (N/m) |
xx |
yy |
xy |
| xx |
222.851 |
58.923 |
0.000 |
| yy |
58.923 |
222.851 |
-0.000 |
| xy |
0.000 |
-0.000 |
81.964 |
| Phonon mode at Γ point (THz) |
| -0.013 |
| -0.005 |
| -0.005 |
| 2.794 |
| 2.794 |
| 5.594 |
| 14.668 |
| 15.044 |
| 18.763 |
| 18.763 |
| 18.782 |
| 18.782 |
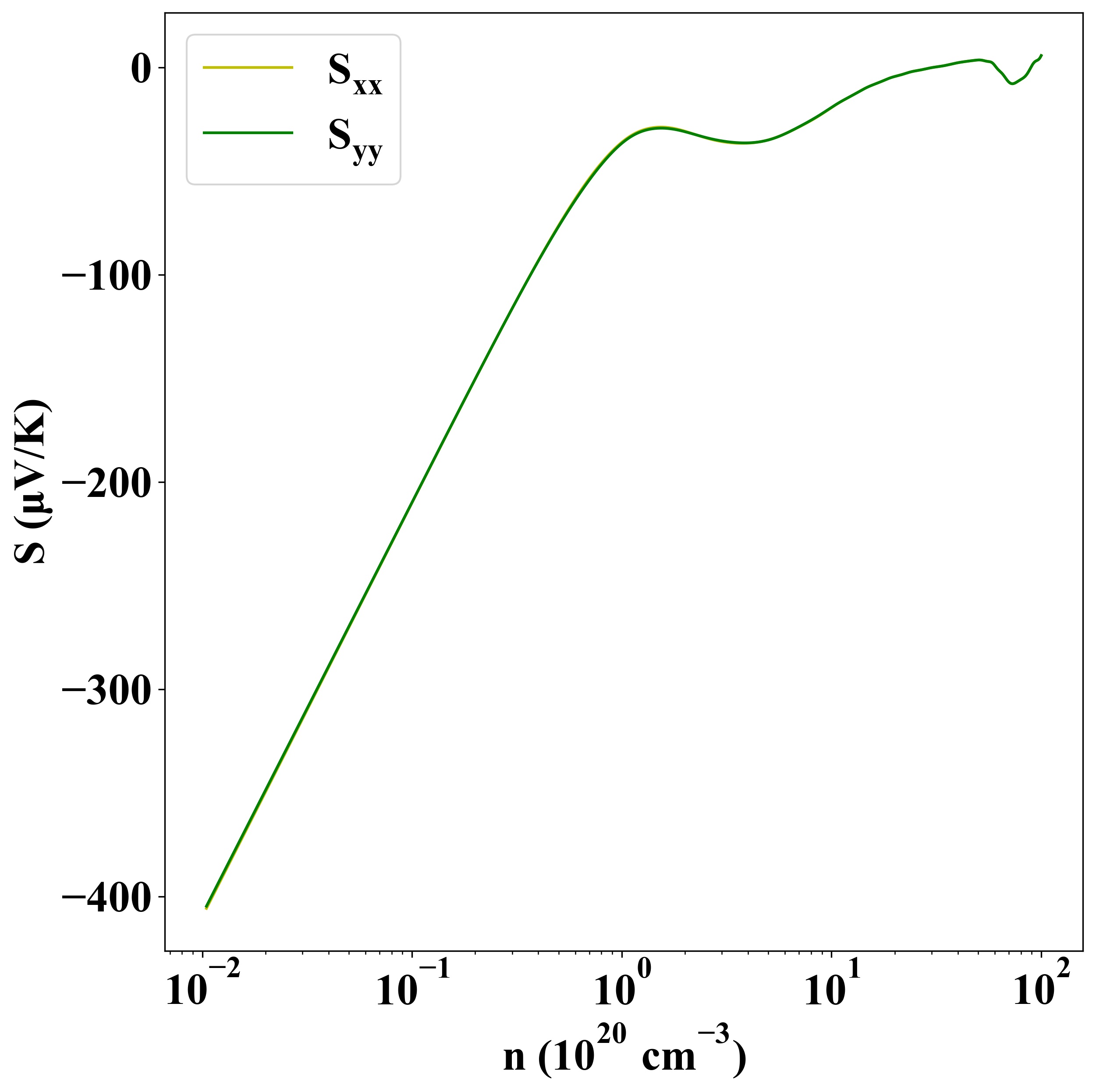
| Carrier type |
C2D (N/m) |
Edef (eV) |
μ (cm2V-1s-1) |
| x |
y |
x |
y |
x |
y |
| hole |
219.52 |
218.58 |
4.11 |
3.45 |
-71.93 |
-101.58 |
| electron |
-8.80 |
-9.00 |
796.93 |
757.76 |
| Property |
Value |
| from where |
sz.tsinghua-34 |