Ge2N2
MatHub2d-641-Ge2N2
| Property |
Value |
| Space group |
(164, 'P-3m1') |
| Crystal system |
hexagonal |
| Magnetic |
No |
| Band gap (PBE) (eV) |
1.14 |
| Free energy (eV) |
-25.075 |
| Free energy / atom (eV) |
-6.269 |
Lattice Parameters (basic)
| a, b, c (Å): | 3.092 | 3.092 | 30.000 |
| α, β, γ (°): | 90.000 | 90.000 | 120.000 |
Lattice Parameters (computed)
| a, b, c (Å): | 3.087 | 3.087 | 30.000 |
| α, β, γ (°): | 90.000 | 90.000 | 120.000 |
| Property |
Value |
| Band gap |
1.14 eV |
| E-fermi |
-3.453 eV |
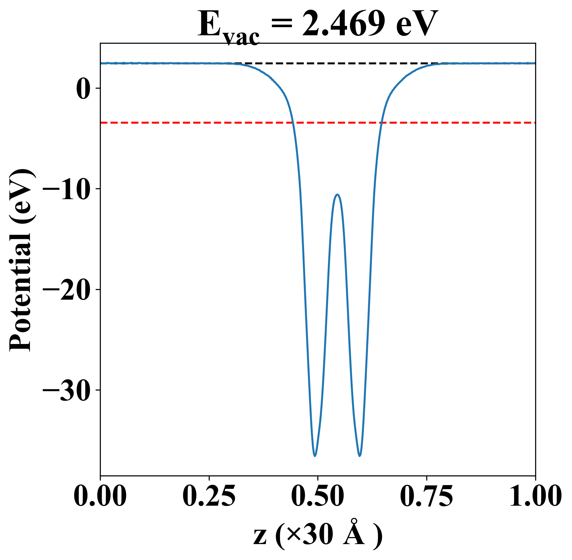
| Vacuum level |
2.469 eV |
| VBM |
-3.708 eV |
| CBM |
-2.569 eV |
| Work function |
5.921 eV |
| Direct gap |
No |
| Property |
Value |
| Band gap |
1.14 eV |
| E-fermi |
-3.421 eV |
| VBM |
-3.714 eV |
| CBM |
-2.574 eV |
| Free energy (eV) |
-25.091 |
| Free energy / atom (eV) |
-6.273 |
| Property |
Value |
| Band gap |
1.14 eV |
| E-fermi |
-3.453 eV |
| Vacuum level |
2.469 eV |
| VBM |
-3.708 eV |
| CBM |
-2.569 eV |
| Work function |
5.921 eV |
| Cij (N/m) |
xx |
yy |
xy |
| xx |
209.953 |
58.542 |
-0.000 |
| yy |
58.542 |
209.953 |
0.000 |
| xy |
-0.000 |
0.000 |
75.706 |
| Phonon mode at Γ point (THz) |
| -0.015 |
| -0.009 |
| -0.009 |
| 2.845 |
| 2.845 |
| 5.560 |
| 14.485 |
| 15.024 |
| 18.533 |
| 18.533 |
| 18.553 |
| 18.553 |
| Carrier type |
C2D (N/m) |
Edef (eV) |
μ (cm2V-1s-1) |
| x |
y |
x |
y |
x |
y |
| hole |
208.76 |
209.18 |
5.86 |
5.36 |
-32.24 |
-38.64 |
| electron |
-7.23 |
-7.41 |
2011.44 |
1916.25 |
| Property |
Value |
| from where |
sz.tsinghua-35 |