Ge2H2
MatHub2d-640-Ge2H2
| Property |
Value |
| Space group |
(164, 'P-3m1') |
| Crystal system |
hexagonal |
| Magnetic |
No |
| Band gap (PBE) (eV) |
1.02 |
| Free energy (eV) |
-15.414 |
| Free energy / atom (eV) |
-3.854 |
Lattice Parameters (basic)
| a, b, c (Å): | 4.077 | 4.077 | 30.000 |
| α, β, γ (°): | 90.000 | 90.000 | 120.000 |
Lattice Parameters (computed)
| a, b, c (Å): | 4.071 | 4.071 | 30.000 |
| α, β, γ (°): | 90.000 | 90.000 | 120.000 |
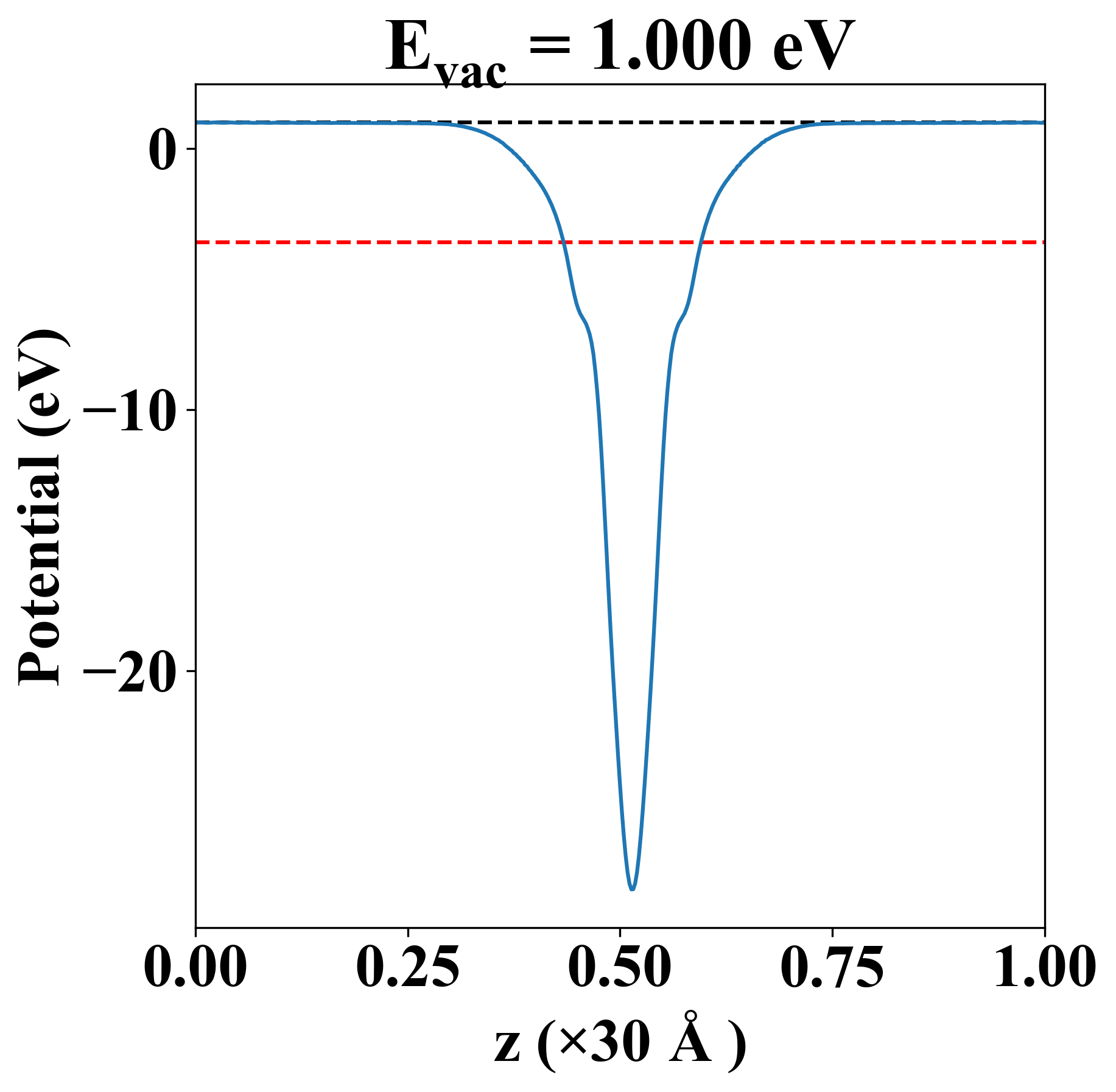
| Property |
Value |
| Band gap |
1.02 eV |
| E-fermi |
-3.577 eV |
| Vacuum level |
1.000 eV |
| VBM |
-3.892 eV |
| CBM |
-2.872 eV |
| Work function |
4.577 eV |
| Direct gap |
Yes |
| Property |
Value |
| Band gap |
0.93 eV |
| E-fermi |
-3.541 eV |
| VBM |
-3.805 eV |
| CBM |
-2.879 eV |
| Free energy (eV) |
-15.432 |
| Free energy / atom (eV) |
-3.858 |
| Property |
Value |
| Band gap |
1.02 eV |
| E-fermi |
-3.577 eV |
| Vacuum level |
1.000 eV |
| VBM |
-3.892 eV |
| CBM |
-2.872 eV |
| Work function |
4.577 eV |
| Cij (N/m) |
xx |
yy |
xy |
| xx |
47.138 |
10.373 |
-0.000 |
| yy |
10.373 |
47.138 |
0.000 |
| xy |
-0.000 |
0.000 |
18.383 |
| Phonon mode at Γ point (THz) |
| -0.038 |
| -0.038 |
| -0.020 |
| 6.609 |
| 8.439 |
| 8.439 |
| 13.878 |
| 13.878 |
| 20.124 |
| 20.124 |
| 59.966 |
| 60.733 |
| Property |
Value |
| from where |
c2db-1964 |