Ge1Te2
MatHub2d-638-Ge1Te2
| Property |
Value |
| Space group |
(187, 'P-6m2') |
| Crystal system |
hexagonal |
| Magnetic |
No |
| Band gap (PBE) (eV) |
0.00 |
| Free energy (eV) |
-10.198 |
| Free energy / atom (eV) |
-3.399 |
Lattice Parameters (basic)
| a, b, c (Å): | 3.606 | 3.606 | 30.000 |
| α, β, γ (°): | 90.000 | 90.000 | 120.000 |
Lattice Parameters (computed)
| a, b, c (Å): | 3.606 | 3.606 | 30.000 |
| α, β, γ (°): | 90.000 | 90.000 | 120.000 |
| Property |
Value |
| Band gap |
0.00 eV |
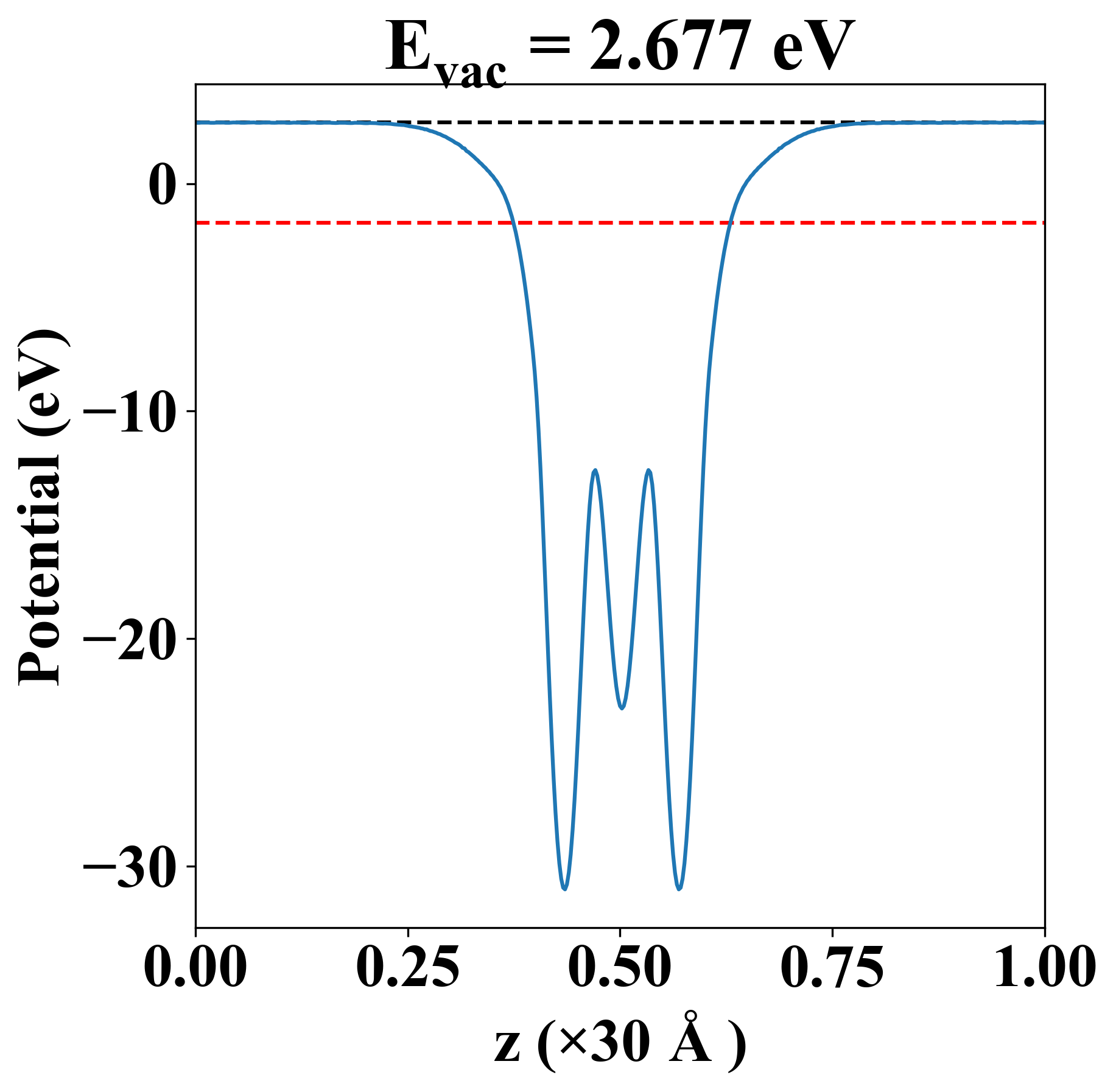
| E-fermi |
-1.733 eV |
| Vacuum level |
2.677 eV |
| VBM |
-1.735 eV |
| CBM |
-1.729 eV |
| Work function |
4.410 eV |
| Direct gap |
No |
| Property |
Value |
| Band gap |
0.00 eV |
| E-fermi |
-1.733 eV |
| Vacuum level |
2.677 eV |
| VBM |
-1.735 eV |
| CBM |
-1.729 eV |
| Work function |
4.410 eV |
| Cij (N/m) |
xx |
yy |
xy |
| xx |
32.447 |
41.326 |
-0.000 |
| yy |
41.326 |
32.447 |
0.000 |
| xy |
-0.000 |
0.000 |
-4.440 |
| Phonon mode at Γ point (THz) |
| -0.014 |
| -0.014 |
| -0.012 |
| 1.716 |
| 1.716 |
| 2.884 |
| 3.004 |
| 3.004 |
| 3.032 |
| Property |
Value |
| from where |
c2db-492 |