Ge1Te2
MatHub2d-637-Ge1Te2
| Property |
Value |
| Space group |
(164, 'P-3m1') |
| Crystal system |
hexagonal |
| Magnetic |
No |
| Band gap (PBE) (eV) |
0.00 |
| Free energy (eV) |
-10.526 |
| Free energy / atom (eV) |
-3.509 |
Lattice Parameters (basic)
| a, b, c (Å): | 3.867 | 3.867 | 30.000 |
| α, β, γ (°): | 90.000 | 90.000 | 120.000 |
Lattice Parameters (computed)
| a, b, c (Å): | 3.868 | 3.868 | 30.000 |
| α, β, γ (°): | 90.000 | 90.000 | 120.000 |
| Property |
Value |
| Band gap |
0.00 eV |
| E-fermi |
-2.468 eV |
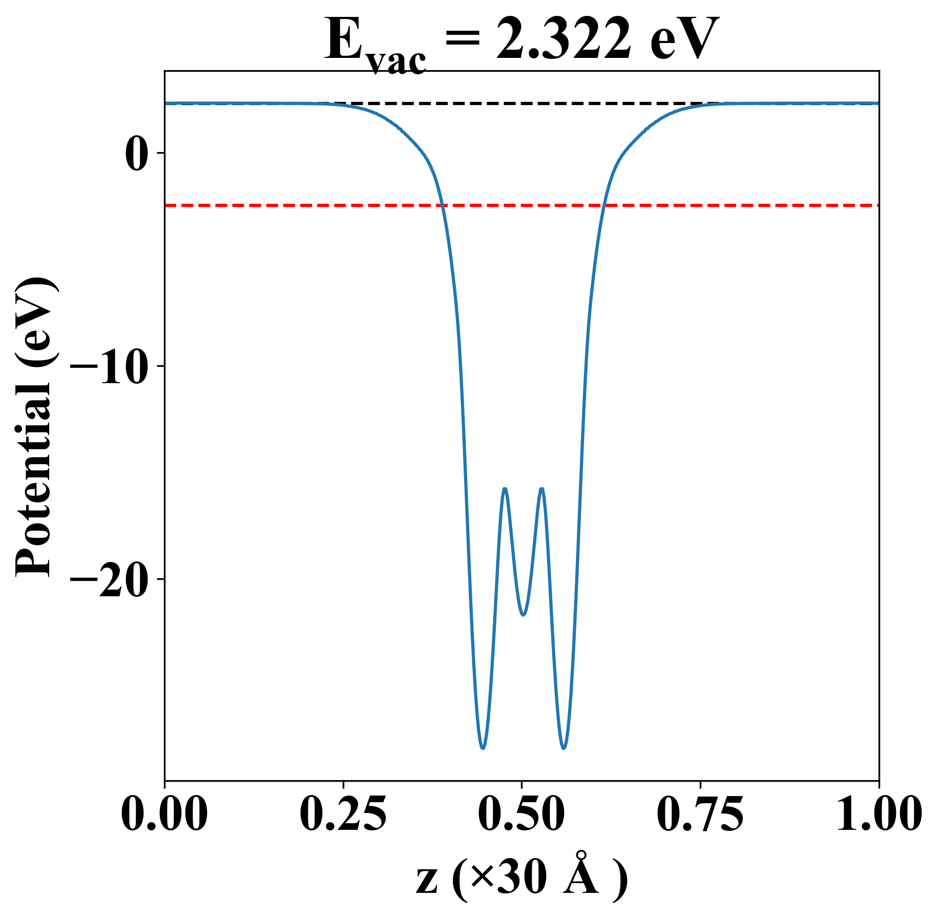
| Vacuum level |
2.322 eV |
| VBM |
-2.470 eV |
| CBM |
-2.465 eV |
| Work function |
4.790 eV |
| Direct gap |
No |
| Property |
Value |
| Band gap |
0.00 eV |
| E-fermi |
-2.468 eV |
| Vacuum level |
2.322 eV |
| VBM |
-2.470 eV |
| CBM |
-2.465 eV |
| Work function |
4.790 eV |
| Cij (N/m) |
xx |
yy |
xy |
| xx |
33.865 |
29.033 |
-0.000 |
| yy |
29.033 |
33.865 |
0.000 |
| xy |
-0.000 |
0.000 |
2.416 |
| Phonon mode at Γ point (THz) |
| -0.012 |
| -0.012 |
| -0.010 |
| 2.164 |
| 2.164 |
| 3.094 |
| 3.094 |
| 3.473 |
| 4.500 |
| Property |
Value |
| from where |
c2db-1855 |