Ge1Te1
MatHub2d-636-Ge1Te1
| Property |
Value |
| Space group |
(156, 'P3m1') |
| Crystal system |
hexagonal |
| Magnetic |
No |
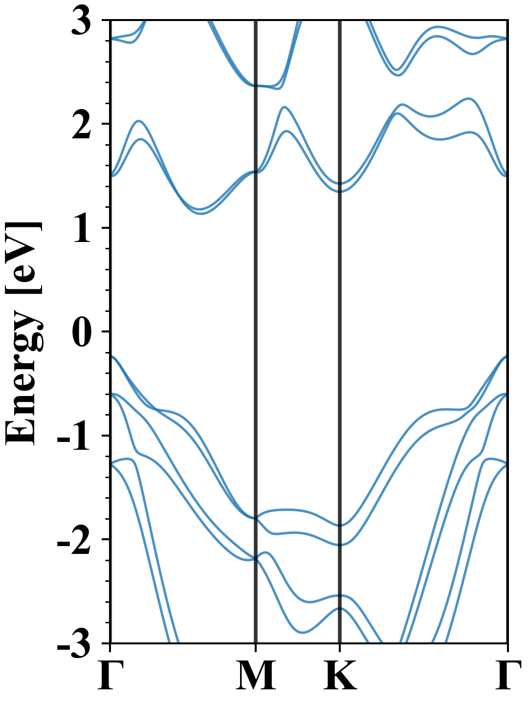
| Band gap (PBE) (eV) |
1.66 |
| Free energy (eV) |
-7.661 |
| Free energy / atom (eV) |
-3.830 |
Lattice Parameters (basic)
| a, b, c (Å): | 3.925 | 3.925 | 30.000 |
| α, β, γ (°): | 90.000 | 90.000 | 120.000 |
Lattice Parameters (computed)
| a, b, c (Å): | 3.904 | 3.904 | 30.000 |
| α, β, γ (°): | 90.000 | 90.000 | 120.000 |
| Property |
Value |
| Band gap |
1.66 eV |
| E-fermi |
-3.446 eV |
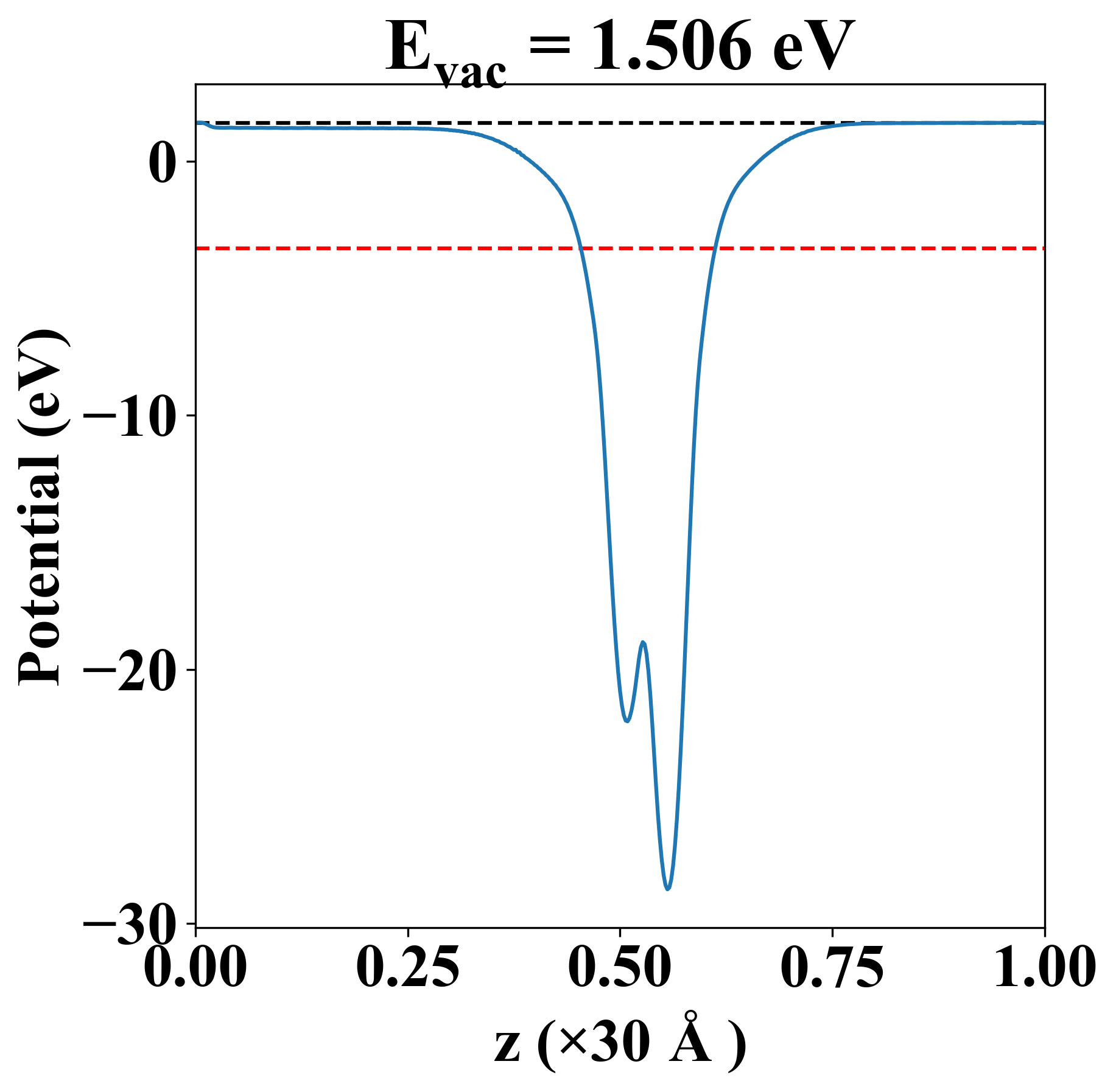
| Vacuum level |
1.506 eV |
| VBM |
-3.681 eV |
| CBM |
-2.018 eV |
| Work function |
4.952 eV |
| Direct gap |
No |
| Property |
Value |
| Band gap |
1.37 eV |
| E-fermi |
-3.165 eV |
| VBM |
-3.403 eV |
| CBM |
-2.032 eV |
| Free energy (eV) |
-7.770 |
| Free energy / atom (eV) |
-3.885 |
| Property |
Value |
| Band gap |
1.66 eV |
| E-fermi |
-3.446 eV |
| Vacuum level |
1.506 eV |
| VBM |
-3.681 eV |
| CBM |
-2.018 eV |
| Work function |
4.952 eV |
| Cij (N/m) |
xx |
yy |
xy |
| xx |
32.179 |
6.610 |
0.000 |
| yy |
6.610 |
32.179 |
-0.000 |
| xy |
0.000 |
-0.000 |
12.785 |
| Phonon mode at Γ point (THz) |
| -0.009 |
| -0.002 |
| -0.002 |
| 5.007 |
| 5.007 |
| 6.844 |
| Property |
Value |
| from where |
JVASP-28268 |