Ge1Te1
MatHub2d-635-Ge1Te1
| Property |
Value |
| Space group |
(156, 'P3m1') |
| Crystal system |
hexagonal |
| Magnetic |
No |
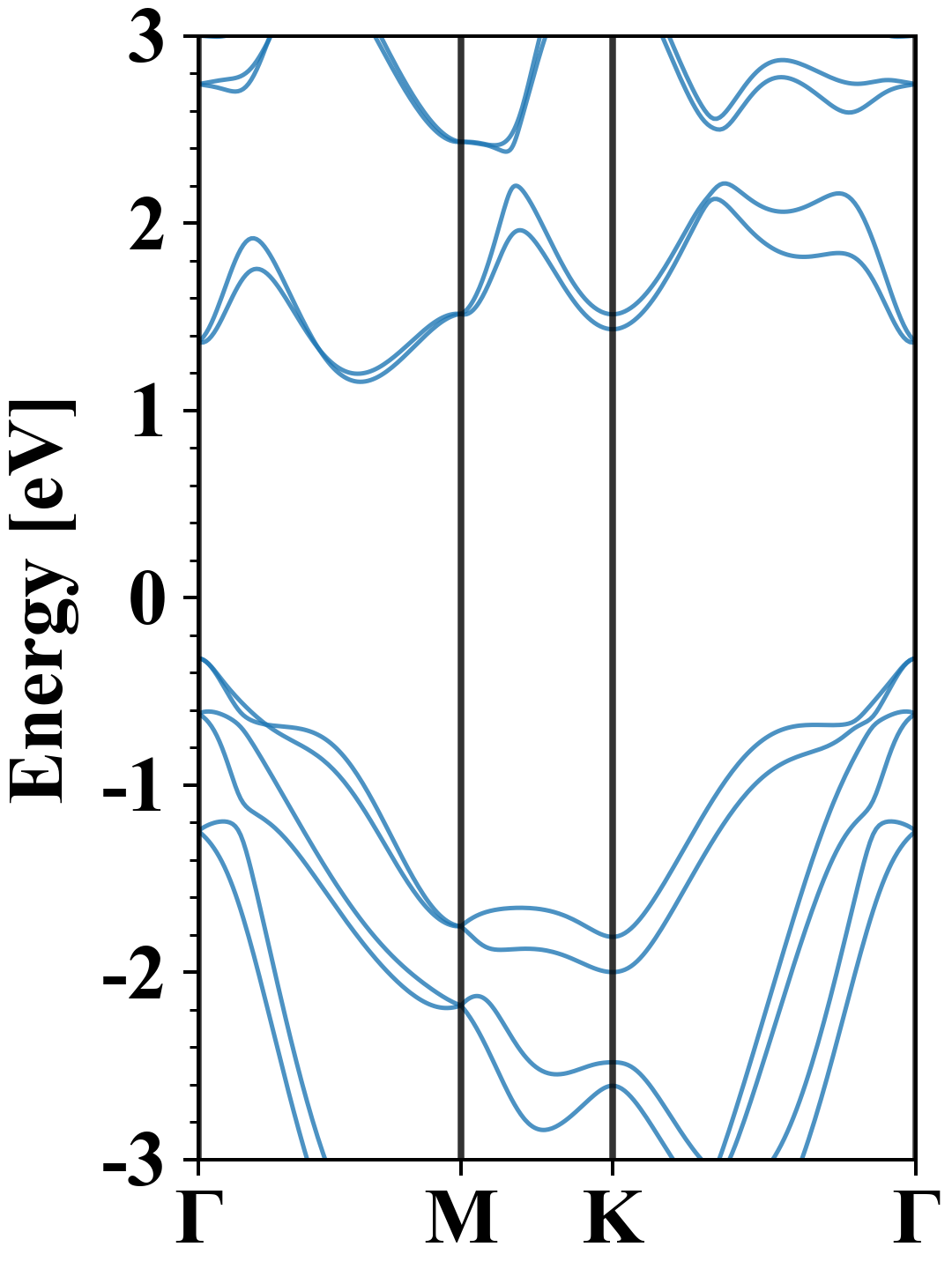
| Band gap (PBE) (eV) |
1.76 |
| Free energy (eV) |
-7.665 |
| Free energy / atom (eV) |
-3.832 |
Lattice Parameters (basic)
| a, b, c (Å): | 3.943 | 3.943 | 30.000 |
| α, β, γ (°): | 90.000 | 90.000 | 120.000 |
Lattice Parameters (computed)
| a, b, c (Å): | 3.945 | 3.945 | 30.000 |
| α, β, γ (°): | 90.000 | 90.000 | 120.000 |
| Property |
Value |
| Band gap |
1.76 eV |
| E-fermi |
-3.533 eV |
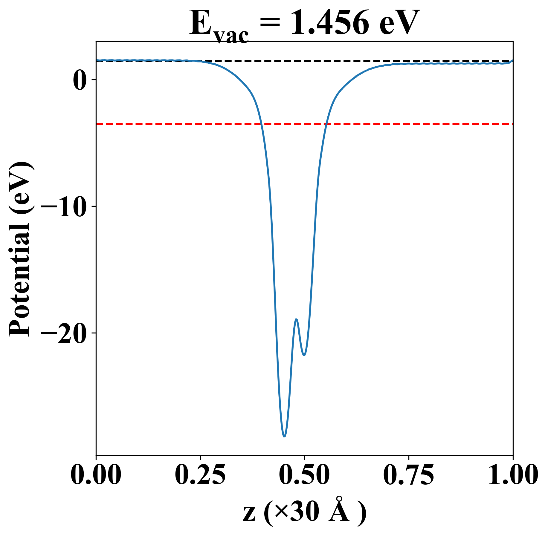
| Vacuum level |
1.456 eV |
| VBM |
-3.809 eV |
| CBM |
-2.046 eV |
| Work function |
4.989 eV |
| Direct gap |
No |
| Property |
Value |
| Band gap |
1.48 eV |
| E-fermi |
-3.220 eV |
| VBM |
-3.544 eV |
| CBM |
-2.067 eV |
| Free energy (eV) |
-7.775 |
| Free energy / atom (eV) |
-3.887 |
| Property |
Value |
| Band gap |
1.76 eV |
| E-fermi |
-3.533 eV |
| Vacuum level |
1.456 eV |
| VBM |
-3.809 eV |
| CBM |
-2.046 eV |
| Work function |
4.989 eV |
| Cij (N/m) |
xx |
yy |
xy |
| xx |
29.901 |
6.120 |
0.000 |
| yy |
6.120 |
29.901 |
-0.000 |
| xy |
0.000 |
-0.000 |
11.891 |
| Phonon mode at Γ point (THz) |
| -0.024 |
| -0.003 |
| -0.003 |
| 4.950 |
| 4.950 |
| 6.699 |
| Property |
Value |
| from where |
c2db-693 |