Ge1Se2
MatHub2d-634-Ge1Se2
| Property |
Value |
| Space group |
(187, 'P-6m2') |
| Crystal system |
hexagonal |
| Magnetic |
|
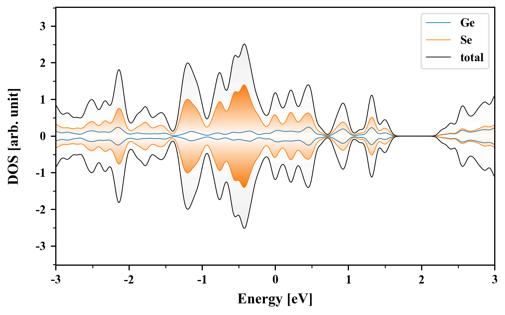
| Band gap (PBE) (eV) |
0.01 |
| Free energy (eV) |
-11.021 |
| Free energy / atom (eV) |
-3.674 |
Lattice Parameters (basic)
| a, b, c (Å): | 3.524 | 3.524 | 30.000 |
| α, β, γ (°): | 90.000 | 90.000 | 120.000 |
Lattice Parameters (computed)
| a, b, c (Å): | 3.546 | 3.546 | 30.000 |
| α, β, γ (°): | 90.000 | 90.000 | 120.000 |
| Property |
Value |
| Band gap |
0.01 eV |
| E-fermi |
-3.447 eV |
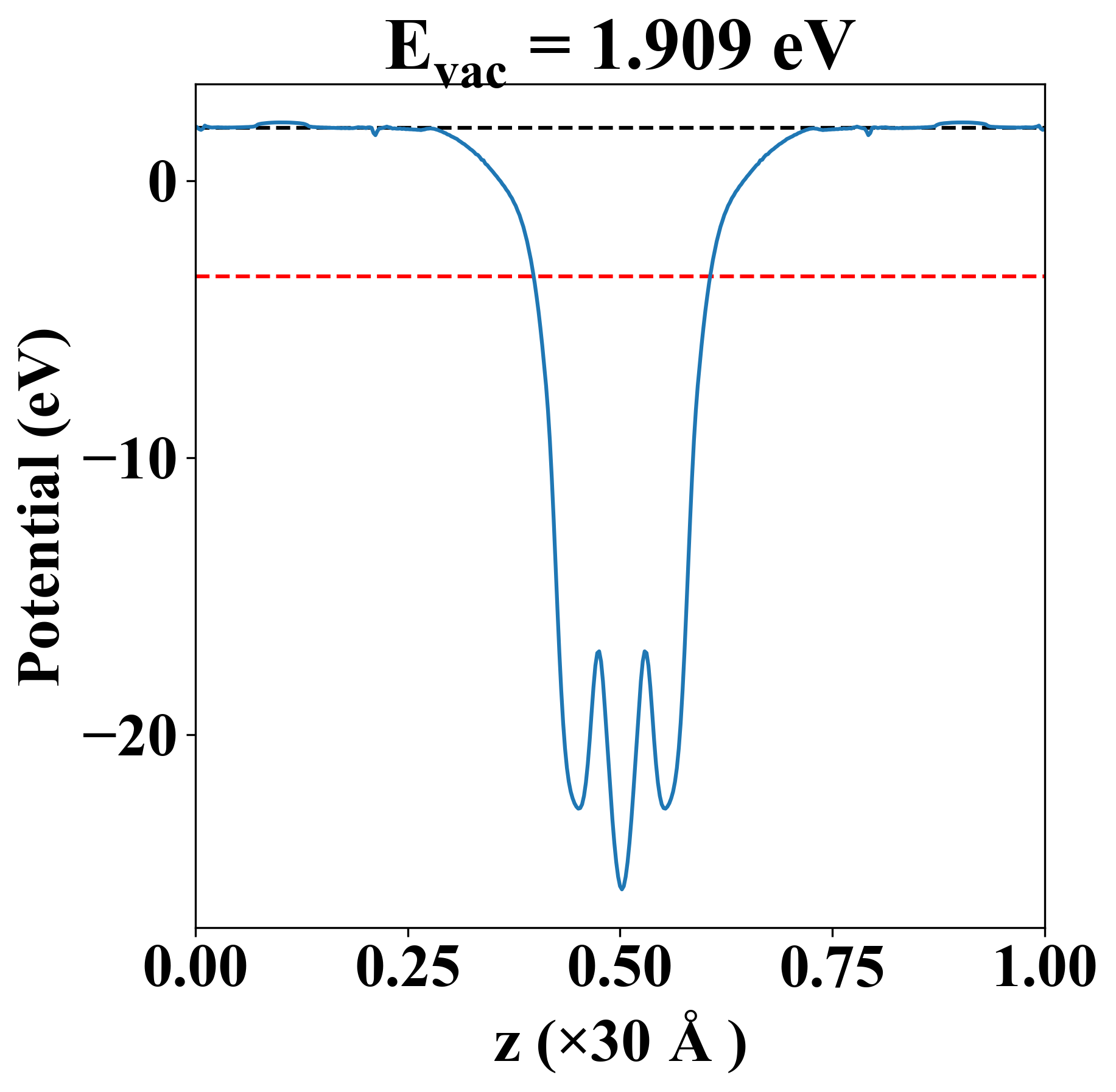
| Vacuum level |
1.909 eV |
| VBM |
-3.449 eV |
| CBM |
-3.443 eV |
| Work function |
5.356 eV |
| Direct gap |
No |
| Property |
Value |
| Band gap |
0.01 eV |
| E-fermi |
-3.447 eV |
| Vacuum level |
1.909 eV |
| VBM |
-3.449 eV |
| CBM |
-3.443 eV |
| Work function |
5.356 eV |
| Cij (N/m) |
xx |
yy |
xy |
| xx |
61.748 |
20.888 |
0.000 |
| yy |
20.888 |
61.748 |
-0.000 |
| xy |
0.000 |
-0.000 |
20.430 |
| Phonon mode at Γ point (THz) |
| -2.786 |
| -2.786 |
| -0.016 |
| -0.016 |
| -0.012 |
| 4.006 |
| 4.006 |
| 5.336 |
| 5.469 |
| Property |
Value |
| from where |
c2db-490 |