Ge1Se2
MatHub2d-633-Ge1Se2
| Property |
Value |
| Space group |
(164, 'P-3m1') |
| Crystal system |
hexagonal |
| Magnetic |
No |
| Band gap (PBE) (eV) |
0.00 |
| Free energy (eV) |
-11.889 |
| Free energy / atom (eV) |
-3.963 |
Lattice Parameters (basic)
| a, b, c (Å): | 3.622 | 3.622 | 30.000 |
| α, β, γ (°): | 90.000 | 90.000 | 120.000 |
Lattice Parameters (computed)
| a, b, c (Å): | 3.622 | 3.622 | 30.000 |
| α, β, γ (°): | 90.000 | 90.000 | 120.000 |
| Property |
Value |
| Band gap |
0.00 eV |
| E-fermi |
-3.730 eV |
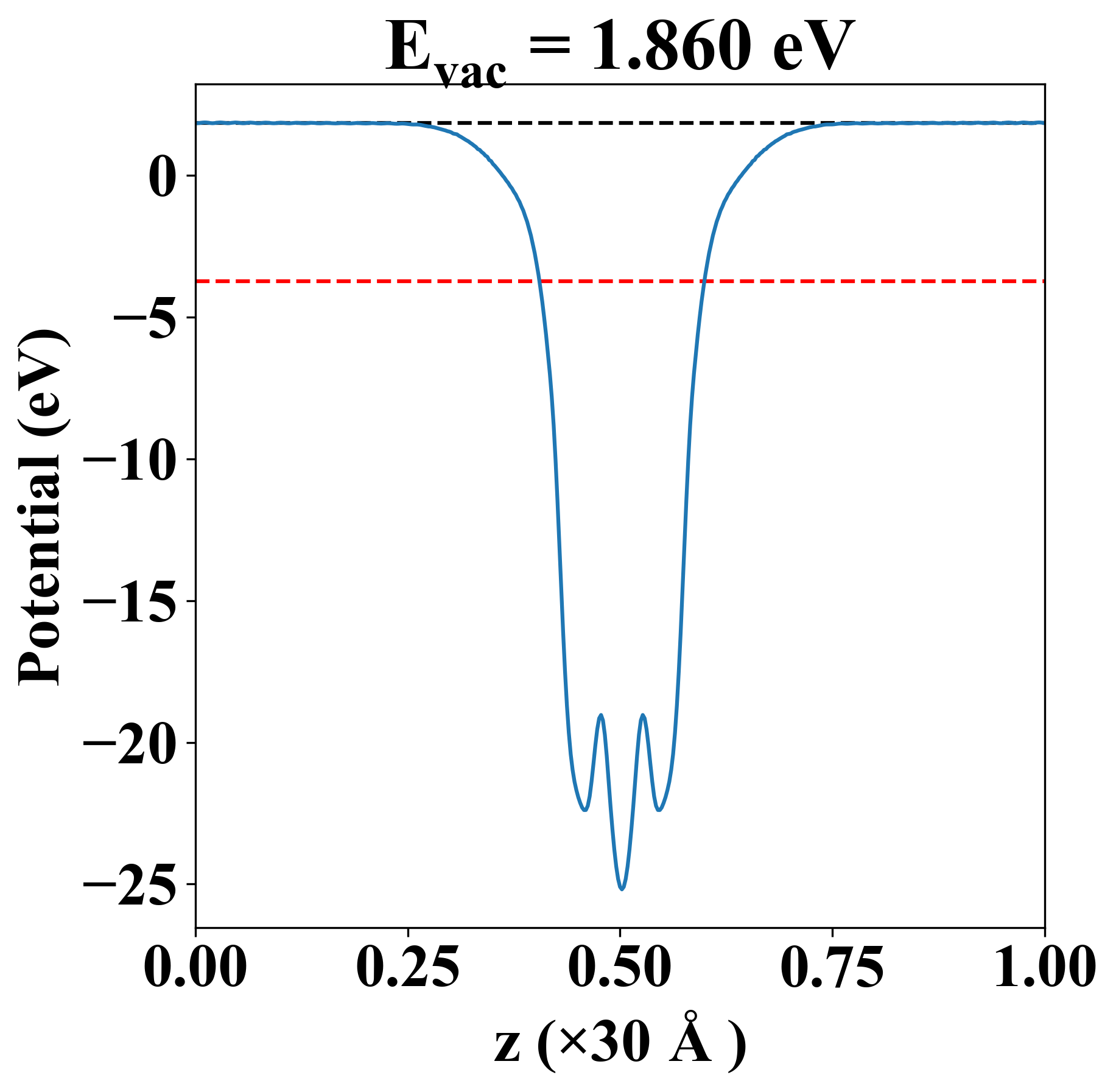
| Vacuum level |
1.860 eV |
| VBM |
-3.732 eV |
| CBM |
-3.727 eV |
| Work function |
5.590 eV |
| Direct gap |
No |
| Property |
Value |
| Band gap |
0.00 eV |
| E-fermi |
-3.730 eV |
| Vacuum level |
1.860 eV |
| VBM |
-3.732 eV |
| CBM |
-3.727 eV |
| Work function |
5.590 eV |
| Cij (N/m) |
xx |
yy |
xy |
| xx |
62.152 |
29.832 |
0.000 |
| yy |
29.832 |
62.152 |
0.000 |
| xy |
0.000 |
0.000 |
16.160 |
| Phonon mode at Γ point (THz) |
| -0.016 |
| -0.016 |
| -0.012 |
| 2.880 |
| 2.880 |
| 4.337 |
| 4.337 |
| 5.592 |
| 8.121 |
| Property |
Value |
| from where |
c2db-489 |