Ge1Se1
MatHub2d-632-Ge1Se1
| Property |
Value |
| Space group |
(156, 'P3m1') |
| Crystal system |
hexagonal |
| Magnetic |
No |
| Band gap (PBE) (eV) |
2.28 |
| Free energy (eV) |
-8.388 |
| Free energy / atom (eV) |
-4.194 |
Lattice Parameters (basic)
| a, b, c (Å): | 3.666 | 3.666 | 30.000 |
| α, β, γ (°): | 90.000 | 90.000 | 120.000 |
Lattice Parameters (computed)
| a, b, c (Å): | 3.665 | 3.665 | 30.000 |
| α, β, γ (°): | 90.000 | 90.000 | 120.000 |
| Property |
Value |
| Band gap |
2.28 eV |
| E-fermi |
-4.326 eV |
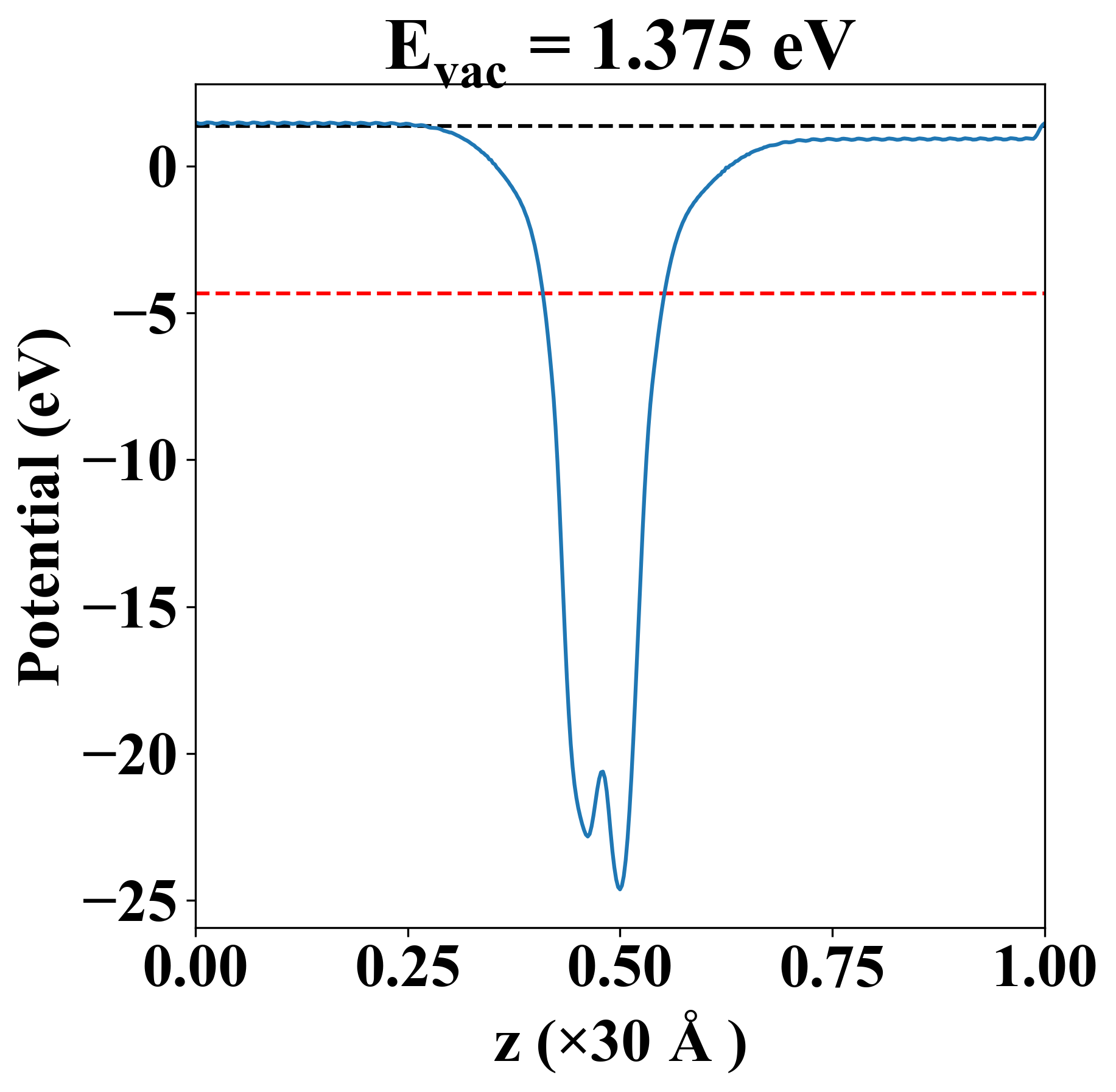
| Vacuum level |
1.375 eV |
| VBM |
-4.573 eV |
| CBM |
-2.289 eV |
| Work function |
5.701 eV |
| Direct gap |
No |
| Property |
Value |
| Band gap |
2.20 eV |
| E-fermi |
-4.199 eV |
| VBM |
-4.488 eV |
| CBM |
-2.287 eV |
| Free energy (eV) |
-8.416 |
| Free energy / atom (eV) |
-4.208 |
| Property |
Value |
| Band gap |
2.28 eV |
| E-fermi |
-4.326 eV |
| Vacuum level |
1.375 eV |
| VBM |
-4.573 eV |
| CBM |
-2.289 eV |
| Work function |
5.701 eV |
| Cij (N/m) |
xx |
yy |
xy |
| xx |
34.365 |
7.448 |
0.000 |
| yy |
7.448 |
34.365 |
-0.000 |
| xy |
0.000 |
-0.000 |
13.458 |
| Phonon mode at Γ point (THz) |
| -0.025 |
| -0.003 |
| -0.003 |
| 5.442 |
| 5.442 |
| 8.132 |
| Property |
Value |
| from where |
c2db-692 |