Ge1S2
MatHub2d-631-Ge1S2
| Property |
Value |
| Space group |
(187, 'P-6m2') |
| Crystal system |
hexagonal |
| Magnetic |
No |
| Band gap (PBE) (eV) |
0.00 |
| Free energy (eV) |
-12.250 |
| Free energy / atom (eV) |
-4.083 |
Lattice Parameters (basic)
| a, b, c (Å): | 3.380 | 3.380 | 30.000 |
| α, β, γ (°): | 90.000 | 90.000 | 120.000 |
Lattice Parameters (computed)
| a, b, c (Å): | 3.377 | 3.377 | 30.000 |
| α, β, γ (°): | 90.000 | 90.000 | 120.000 |
| Property |
Value |
| Band gap |
0.00 eV |
| E-fermi |
-3.733 eV |
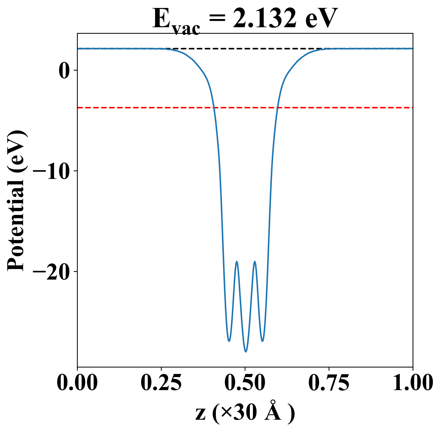
| Vacuum level |
2.132 eV |
| VBM |
-3.735 eV |
| CBM |
-3.729 eV |
| Work function |
5.865 eV |
| Direct gap |
No |
| Property |
Value |
| Band gap |
0.00 eV |
| E-fermi |
-3.733 eV |
| Vacuum level |
2.132 eV |
| VBM |
-3.735 eV |
| CBM |
-3.729 eV |
| Work function |
5.865 eV |
| Cij (N/m) |
xx |
yy |
xy |
| xx |
93.338 |
28.759 |
-0.000 |
| yy |
28.759 |
93.338 |
0.000 |
| xy |
-0.000 |
0.000 |
32.289 |
| Phonon mode at Γ point (THz) |
| -5.626 |
| -5.626 |
| -0.017 |
| 0.001 |
| 0.001 |
| 5.240 |
| 5.240 |
| 9.683 |
| 10.582 |
| Property |
Value |
| from where |
c2db-554 |