Ge1S2
MatHub2d-630-Ge1S2
| Property |
Value |
| Space group |
(164, 'P-3m1') |
| Crystal system |
hexagonal |
| Magnetic |
No |
| Band gap (PBE) (eV) |
0.73 |
| Free energy (eV) |
-13.342 |
| Free energy / atom (eV) |
-4.447 |
Lattice Parameters (basic)
| a, b, c (Å): | 3.444 | 3.444 | 30.000 |
| α, β, γ (°): | 90.000 | 90.000 | 120.000 |
Lattice Parameters (computed)
| a, b, c (Å): | 3.443 | 3.443 | 30.000 |
| α, β, γ (°): | 90.000 | 90.000 | 120.000 |
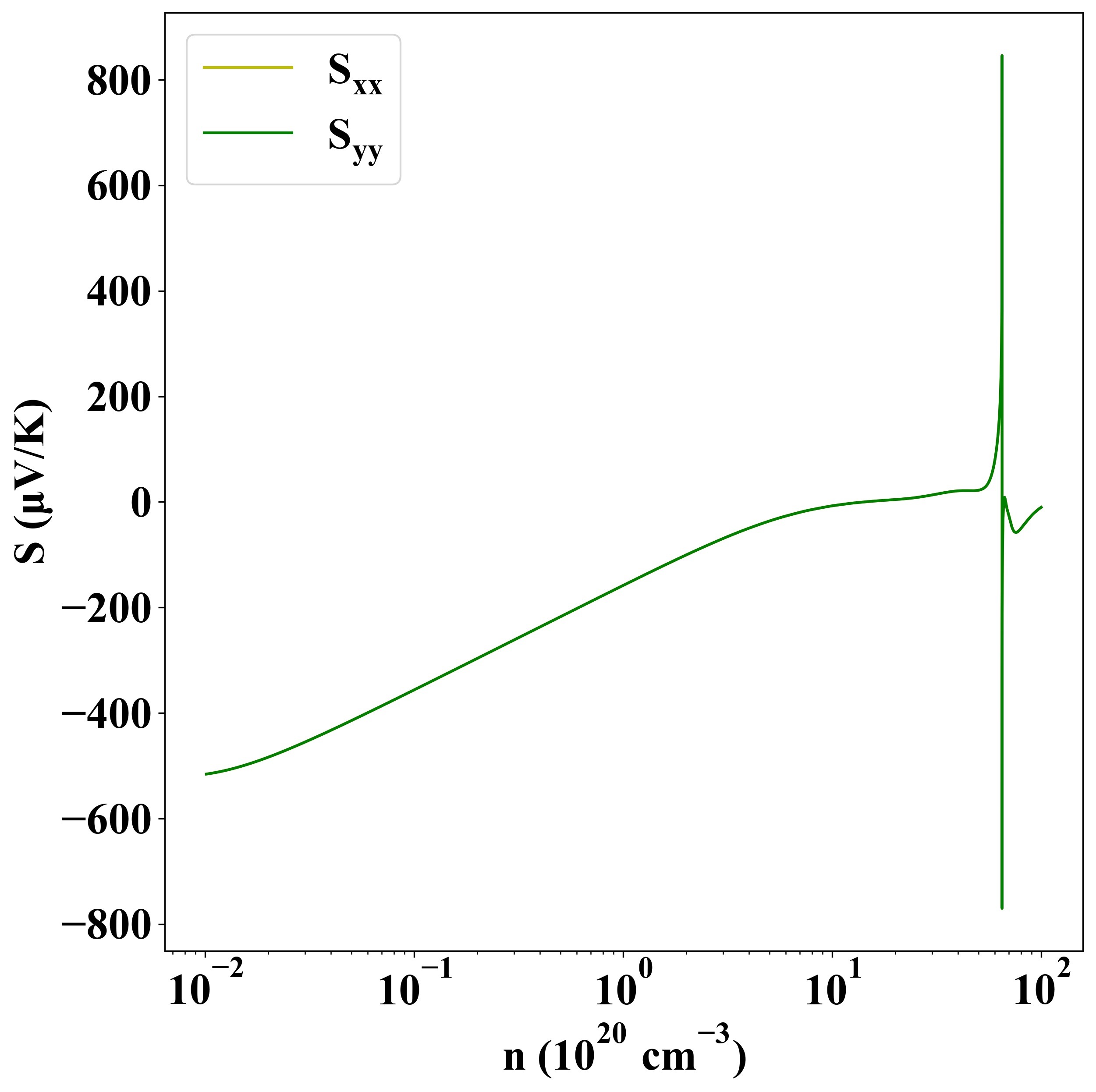
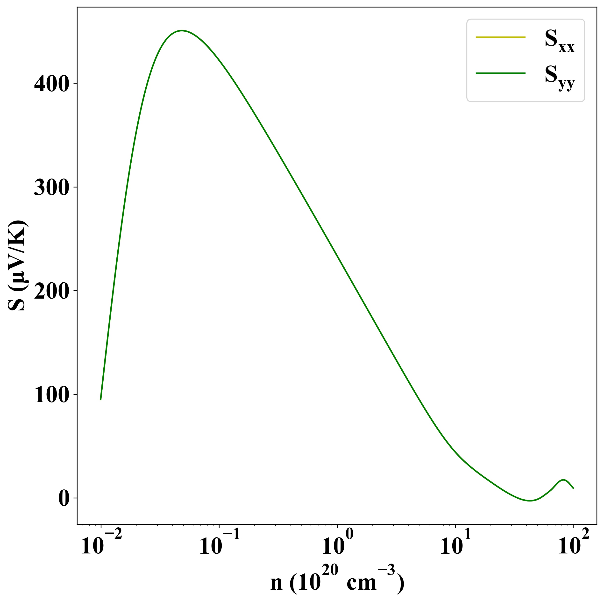
| Property |
Value |
| Band gap |
0.73 eV |
| E-fermi |
-4.100 eV |
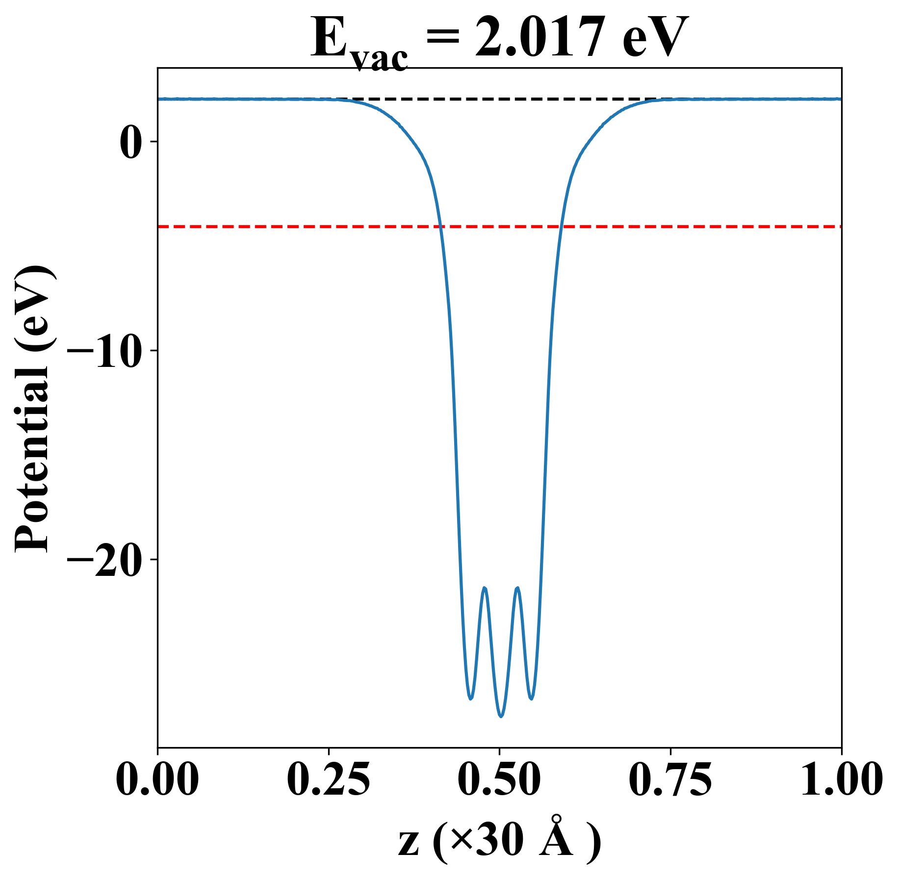
| Vacuum level |
2.017 eV |
| VBM |
-4.380 eV |
| CBM |
-3.650 eV |
| Work function |
6.117 eV |
| Direct gap |
No |
| Property |
Value |
| Band gap |
0.73 eV |
| E-fermi |
-4.181 eV |
| VBM |
-4.392 eV |
| CBM |
-3.660 eV |
| Free energy (eV) |
-13.351 |
| Free energy / atom (eV) |
-4.450 |
| Property |
Value |
| Band gap |
0.73 eV |
| E-fermi |
-4.100 eV |
| Vacuum level |
2.017 eV |
| VBM |
-4.380 eV |
| CBM |
-3.650 eV |
| Work function |
6.117 eV |
| Cij (N/m) |
xx |
yy |
xy |
| xx |
87.525 |
23.325 |
0.000 |
| yy |
23.325 |
87.525 |
0.000 |
| xy |
0.000 |
0.000 |
32.100 |
| Phonon mode at Γ point (THz) |
| -0.026 |
| -0.024 |
| -0.024 |
| 5.428 |
| 5.428 |
| 6.056 |
| 6.056 |
| 9.856 |
| 11.893 |
| Property |
Value |
| from where |
c2db-615 |