Ge1S1
MatHub2d-629-Ge1S1
| Property |
Value |
| Space group |
(156, 'P3m1') |
| Crystal system |
hexagonal |
| Magnetic |
No |
| Band gap (PBE) (eV) |
2.49 |
| Free energy (eV) |
-9.054 |
| Free energy / atom (eV) |
-4.527 |
Lattice Parameters (basic)
| a, b, c (Å): | 3.488 | 3.488 | 30.000 |
| α, β, γ (°): | 90.000 | 90.000 | 120.000 |
Lattice Parameters (computed)
| a, b, c (Å): | 3.487 | 3.487 | 30.000 |
| α, β, γ (°): | 90.000 | 90.000 | 120.000 |
| Property |
Value |
| Band gap |
2.49 eV |
| E-fermi |
-4.509 eV |
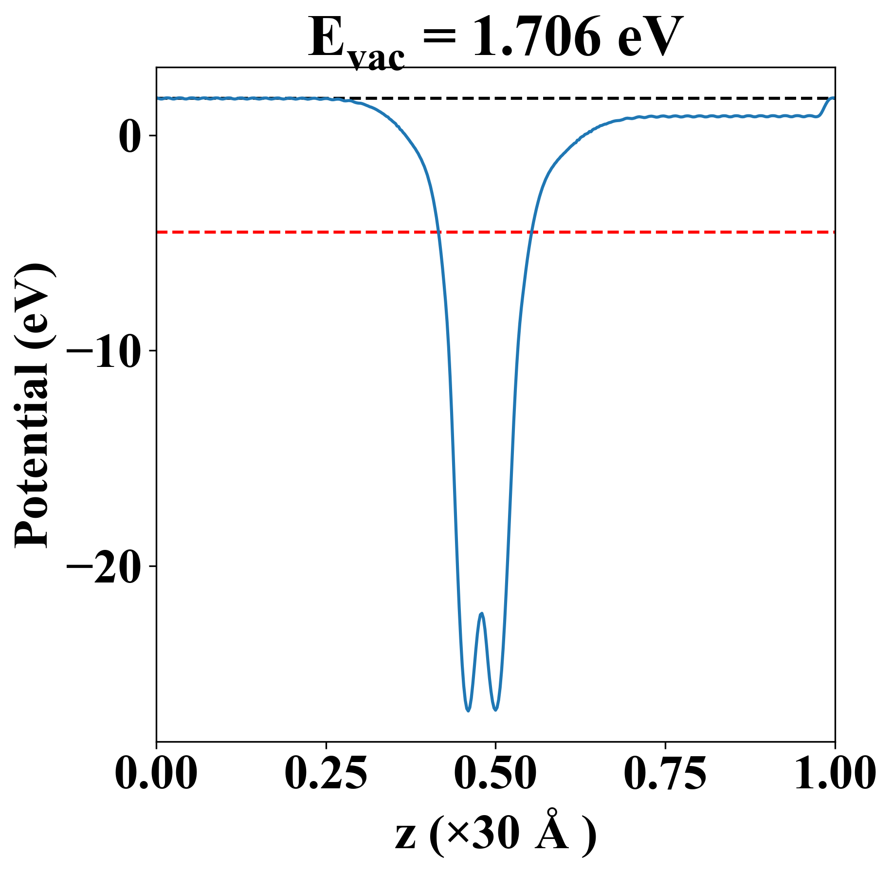
| Vacuum level |
1.706 eV |
| VBM |
-4.815 eV |
| CBM |
-2.329 eV |
| Work function |
6.215 eV |
| Direct gap |
No |
| Property |
Value |
| Band gap |
2.46 eV |
| E-fermi |
-4.546 eV |
| VBM |
-4.787 eV |
| CBM |
-2.327 eV |
| Free energy (eV) |
-9.063 |
| Free energy / atom (eV) |
-4.531 |
| Property |
Value |
| Band gap |
2.49 eV |
| E-fermi |
-4.509 eV |
| Vacuum level |
1.706 eV |
| VBM |
-4.815 eV |
| CBM |
-2.329 eV |
| Work function |
6.215 eV |
| Cij (N/m) |
xx |
yy |
xy |
| xx |
39.022 |
8.274 |
-0.000 |
| yy |
8.274 |
39.022 |
0.000 |
| xy |
-0.000 |
0.000 |
15.374 |
| Phonon mode at Γ point (THz) |
| -0.025 |
| -0.007 |
| -0.007 |
| 7.188 |
| 7.188 |
| 11.302 |
| Property |
Value |
| from where |
c2db-691 |