Ge1O2
MatHub2d-628-Ge1O2
| Property |
Value |
| Space group |
(187, 'P-6m2') |
| Crystal system |
hexagonal |
| Magnetic |
No |
| Band gap (PBE) (eV) |
1.38 |
| Free energy (eV) |
-17.255 |
| Free energy / atom (eV) |
-5.752 |
Lattice Parameters (basic)
| a, b, c (Å): | 2.812 | 2.812 | 30.000 |
| α, β, γ (°): | 90.000 | 90.000 | 120.000 |
Lattice Parameters (computed)
| a, b, c (Å): | 2.813 | 2.813 | 30.000 |
| α, β, γ (°): | 90.000 | 90.000 | 120.000 |
| Property |
Value |
| Band gap |
1.38 eV |
| E-fermi |
-6.495 eV |
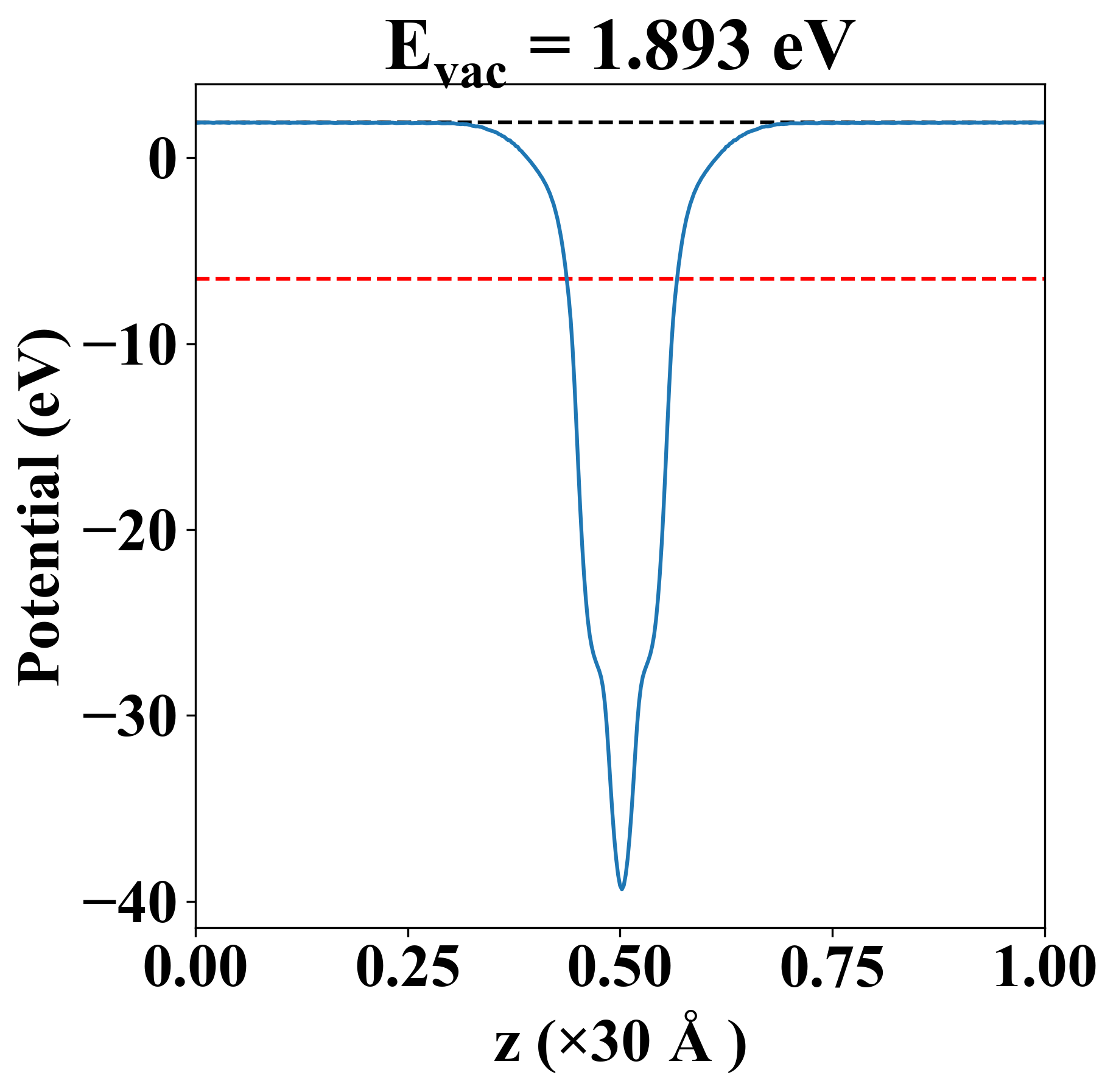
| Vacuum level |
1.893 eV |
| VBM |
-6.722 eV |
| CBM |
-5.337 eV |
| Work function |
8.388 eV |
| Direct gap |
No |
| Property |
Value |
| Band gap |
1.39 eV |
| E-fermi |
-6.525 eV |
| VBM |
-6.738 eV |
| CBM |
-5.351 eV |
| Free energy (eV) |
-17.261 |
| Free energy / atom (eV) |
-5.754 |
| Property |
Value |
| Band gap |
1.38 eV |
| E-fermi |
-6.495 eV |
| Vacuum level |
1.893 eV |
| VBM |
-6.722 eV |
| CBM |
-5.337 eV |
| Work function |
8.388 eV |
| Cij (N/m) |
xx |
yy |
xy |
| xx |
198.778 |
51.666 |
0.000 |
| yy |
51.666 |
198.778 |
-0.000 |
| xy |
0.000 |
-0.000 |
73.556 |
| Phonon mode at Γ point (THz) |
| -6.922 |
| -6.922 |
| -0.021 |
| -0.006 |
| -0.006 |
| 9.801 |
| 9.801 |
| 18.572 |
| 21.472 |
| Carrier type |
C2D (N/m) |
Edef (eV) |
μ (cm2V-1s-1) |
| x |
y |
x |
y |
x |
y |
| hole |
196.14 |
195.92 |
2.45 |
2.45 |
-14.95 |
-15.05 |
| electron |
-6.64 |
-6.64 |
2119.82 |
2116.74 |
| Property |
Value |
| from where |
c2db-553 |