Ge1O2
MatHub2d-627-Ge1O2
| Property |
Value |
| Space group |
(164, 'P-3m1') |
| Crystal system |
hexagonal |
| Magnetic |
No |
| Band gap (PBE) (eV) |
3.58 |
| Free energy (eV) |
-18.927 |
| Free energy / atom (eV) |
-6.309 |
Lattice Parameters (basic)
| a, b, c (Å): | 2.904 | 2.904 | 30.000 |
| α, β, γ (°): | 90.000 | 90.000 | 120.000 |
Lattice Parameters (computed)
| a, b, c (Å): | 2.906 | 2.906 | 30.000 |
| α, β, γ (°): | 90.000 | 90.000 | 120.000 |
| Property |
Value |
| Band gap |
3.58 eV |
| E-fermi |
-6.844 eV |
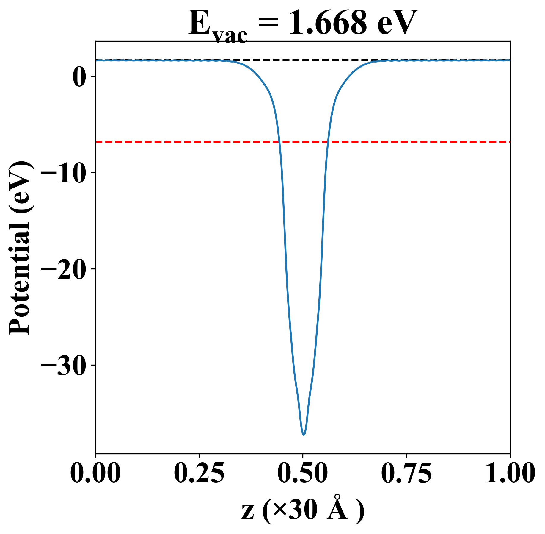
| Vacuum level |
1.668 eV |
| VBM |
-7.108 eV |
| CBM |
-3.525 eV |
| Work function |
8.513 eV |
| Direct gap |
No |
| Property |
Value |
| Band gap |
3.59 eV |
| E-fermi |
-6.887 eV |
| VBM |
-7.124 eV |
| CBM |
-3.532 eV |
| Free energy (eV) |
-18.934 |
| Free energy / atom (eV) |
-6.311 |
| Property |
Value |
| Band gap |
3.58 eV |
| E-fermi |
-6.844 eV |
| Vacuum level |
1.668 eV |
| VBM |
-7.108 eV |
| CBM |
-3.525 eV |
| Work function |
8.513 eV |
| Cij (N/m) |
xx |
yy |
xy |
| xx |
161.260 |
46.908 |
0.000 |
| yy |
46.908 |
161.260 |
0.000 |
| xy |
0.000 |
0.000 |
57.176 |
| Phonon mode at Γ point (THz) |
| -0.022 |
| -0.004 |
| -0.004 |
| 11.591 |
| 11.591 |
| 13.572 |
| 13.572 |
| 16.815 |
| 19.451 |
| Carrier type |
C2D (N/m) |
Edef (eV) |
μ (cm2V-1s-1) |
| x |
y |
x |
y |
x |
y |
| hole |
159.43 |
158.62 |
3.65 |
4.82 |
-15.48 |
-8.85 |
| electron |
-8.41 |
-8.37 |
1099.12 |
1104.38 |
| Property |
Value |
| from where |
c2db-675 |