Ge1O1
MatHub2d-626-Ge1O1
| Property |
Value |
| Space group |
(156, 'P3m1') |
| Crystal system |
hexagonal |
| Magnetic |
No |
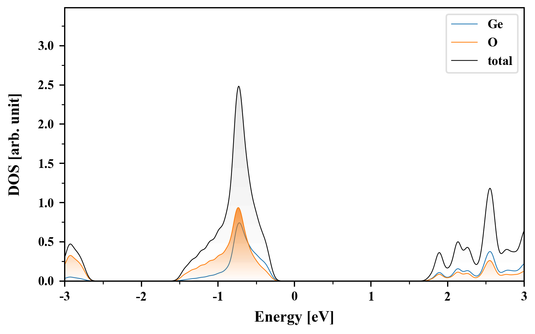
| Band gap (PBE) (eV) |
2.12 |
| Free energy (eV) |
-11.237 |
| Free energy / atom (eV) |
-5.618 |
Lattice Parameters (basic)
| a, b, c (Å): | 3.011 | 3.011 | 30.000 |
| α, β, γ (°): | 90.000 | 90.000 | 120.000 |
Lattice Parameters (computed)
| a, b, c (Å): | 3.015 | 3.015 | 30.000 |
| α, β, γ (°): | 90.000 | 90.000 | 120.000 |
| Property |
Value |
| Band gap |
2.12 eV |
| E-fermi |
-5.113 eV |
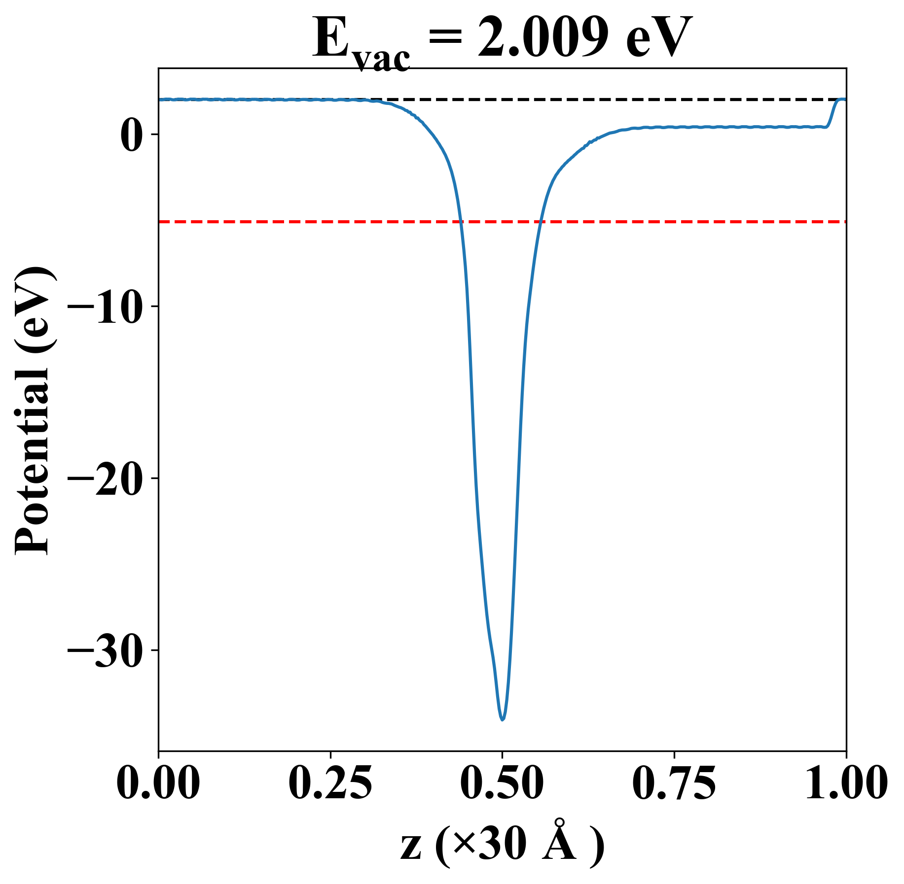
| Vacuum level |
2.009 eV |
| VBM |
-5.323 eV |
| CBM |
-3.205 eV |
| Work function |
7.121 eV |
| Direct gap |
No |
| Property |
Value |
| Band gap |
2.11 eV |
| E-fermi |
-5.008 eV |
| VBM |
-5.253 eV |
| CBM |
-3.140 eV |
| Free energy (eV) |
-11.243 |
| Free energy / atom (eV) |
-5.622 |
| Property |
Value |
| Band gap |
2.12 eV |
| E-fermi |
-5.113 eV |
| Vacuum level |
2.009 eV |
| VBM |
-5.323 eV |
| CBM |
-3.205 eV |
| Work function |
7.121 eV |
| Cij (N/m) |
xx |
yy |
xy |
| xx |
50.984 |
16.860 |
-0.000 |
| yy |
16.860 |
50.984 |
0.000 |
| xy |
-0.000 |
0.000 |
17.062 |
| Phonon mode at Γ point (THz) |
| -0.018 |
| -0.013 |
| -0.013 |
| 9.056 |
| 9.056 |
| 16.533 |
| Property |
Value |
| from where |
c2db-690 |