Ge1I2
MatHub2d-625-Ge1I2
| Property |
Value |
| Space group |
(164, 'P-3m1') |
| Crystal system |
hexagonal |
| Magnetic |
No |
| Band gap (PBE) (eV) |
2.10 |
| Free energy (eV) |
-8.588 |
| Free energy / atom (eV) |
-2.863 |
Lattice Parameters (basic)
| a, b, c (Å): | 4.300 | 4.300 | 30.000 |
| α, β, γ (°): | 90.000 | 90.000 | 120.000 |
Lattice Parameters (computed)
| a, b, c (Å): | 4.298 | 4.298 | 30.000 |
| α, β, γ (°): | 90.000 | 90.000 | 120.000 |
| Property |
Value |
| Band gap |
2.10 eV |
| E-fermi |
-3.758 eV |
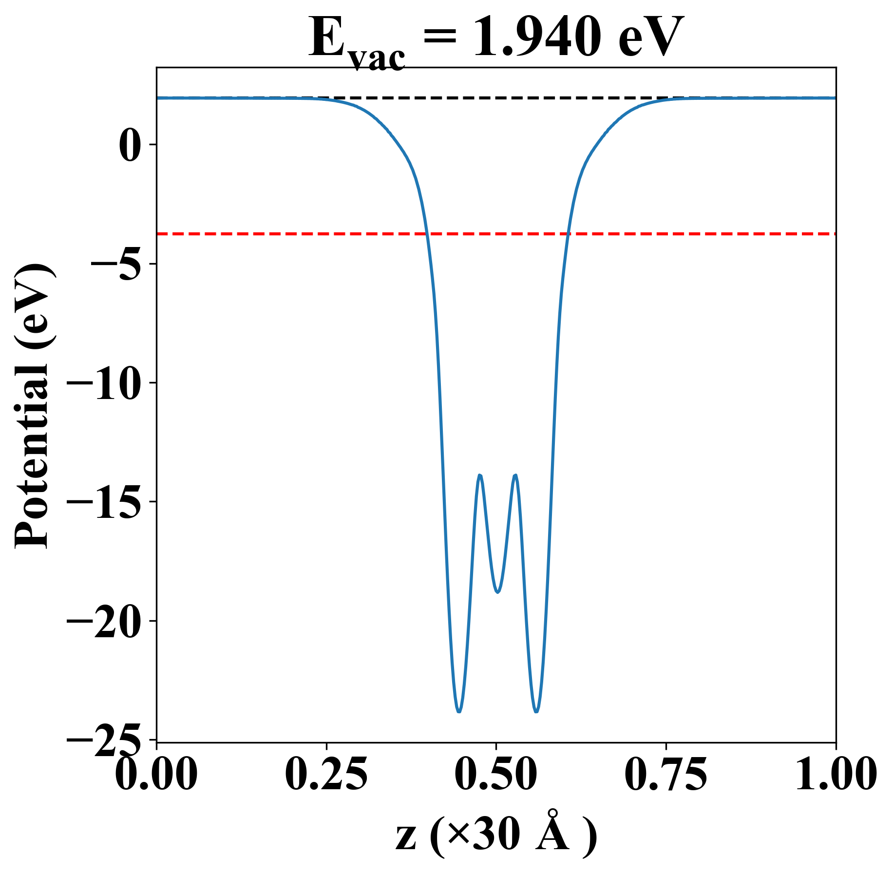
| Vacuum level |
1.940 eV |
| VBM |
-3.994 eV |
| CBM |
-1.898 eV |
| Work function |
5.698 eV |
| Direct gap |
No |
| Property |
Value |
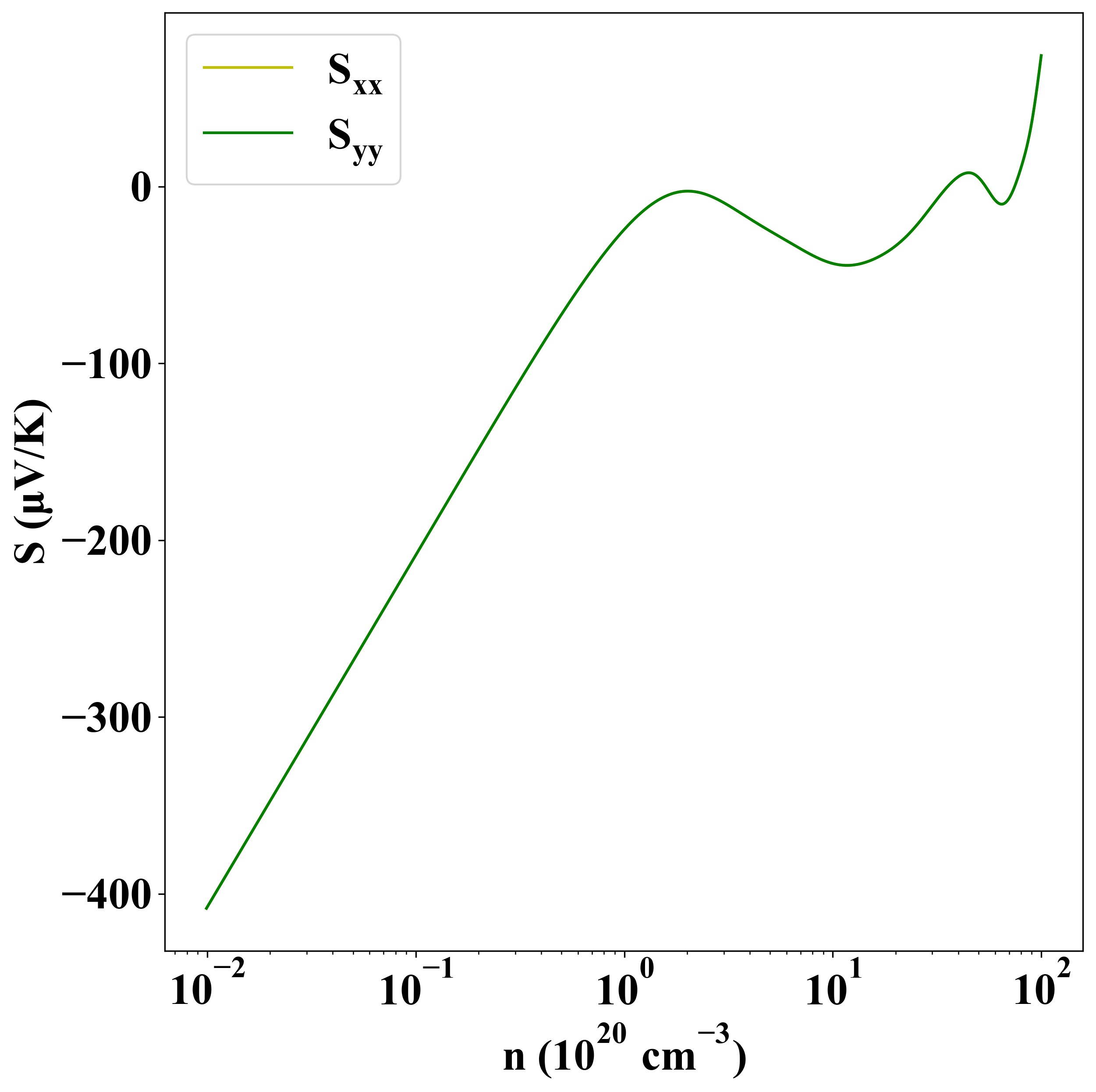
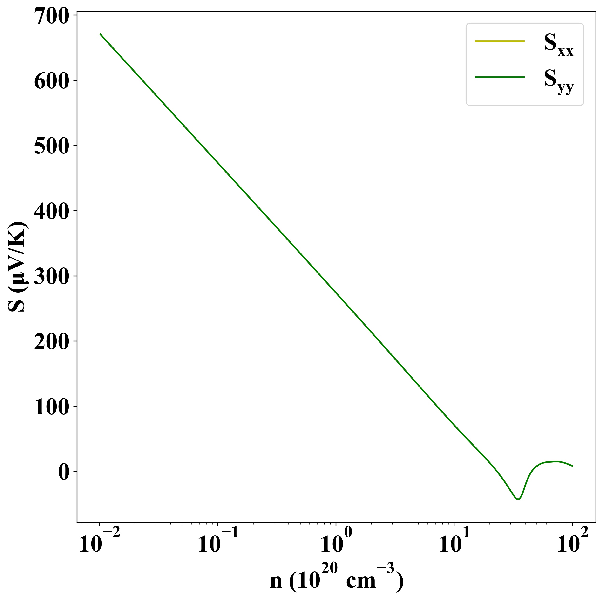
| Band gap |
1.98 eV |
| E-fermi |
-3.679 eV |
| VBM |
-3.903 eV |
| CBM |
-1.922 eV |
| Free energy (eV) |
-8.869 |
| Free energy / atom (eV) |
-2.956 |
| Property |
Value |
| Band gap |
2.10 eV |
| E-fermi |
-3.758 eV |
| Vacuum level |
1.940 eV |
| VBM |
-3.994 eV |
| CBM |
-1.898 eV |
| Work function |
5.698 eV |
| Cij (N/m) |
xx |
yy |
xy |
| xx |
24.311 |
5.584 |
-0.000 |
| yy |
5.584 |
24.311 |
-0.000 |
| xy |
-0.000 |
-0.000 |
9.363 |
| Phonon mode at Γ point (THz) |
| -0.021 |
| -0.003 |
| -0.003 |
| 1.912 |
| 1.912 |
| 2.362 |
| 2.362 |
| 2.791 |
| 5.238 |
| Carrier type |
C2D (N/m) |
Edef (eV) |
μ (cm2V-1s-1) |
| x |
y |
x |
y |
x |
y |
| hole |
23.52 |
24.64 |
-4.58 |
-3.59 |
-11.22 |
-19.13 |
| electron |
-5.67 |
-5.90 |
71.40 |
69.04 |
| Property |
Value |
| from where |
c2db-880 |