Ga2Te2
MatHub2d-624-Ga2Te2
| Property |
Value |
| Space group |
(164, 'P-3m1') |
| Crystal system |
hexagonal |
| Magnetic |
No |
| Band gap (PBE) (eV) |
1.41 |
| Free energy (eV) |
-13.476 |
| Free energy / atom (eV) |
-3.369 |
Lattice Parameters (basic)
| a, b, c (Å): | 4.153 | 4.153 | 30.000 |
| α, β, γ (°): | 90.000 | 90.000 | 120.000 |
Lattice Parameters (computed)
| a, b, c (Å): | 4.133 | 4.133 | 30.000 |
| α, β, γ (°): | 90.000 | 90.000 | 120.000 |
| Property |
Value |
| Band gap |
1.41 eV |
| E-fermi |
-2.553 eV |
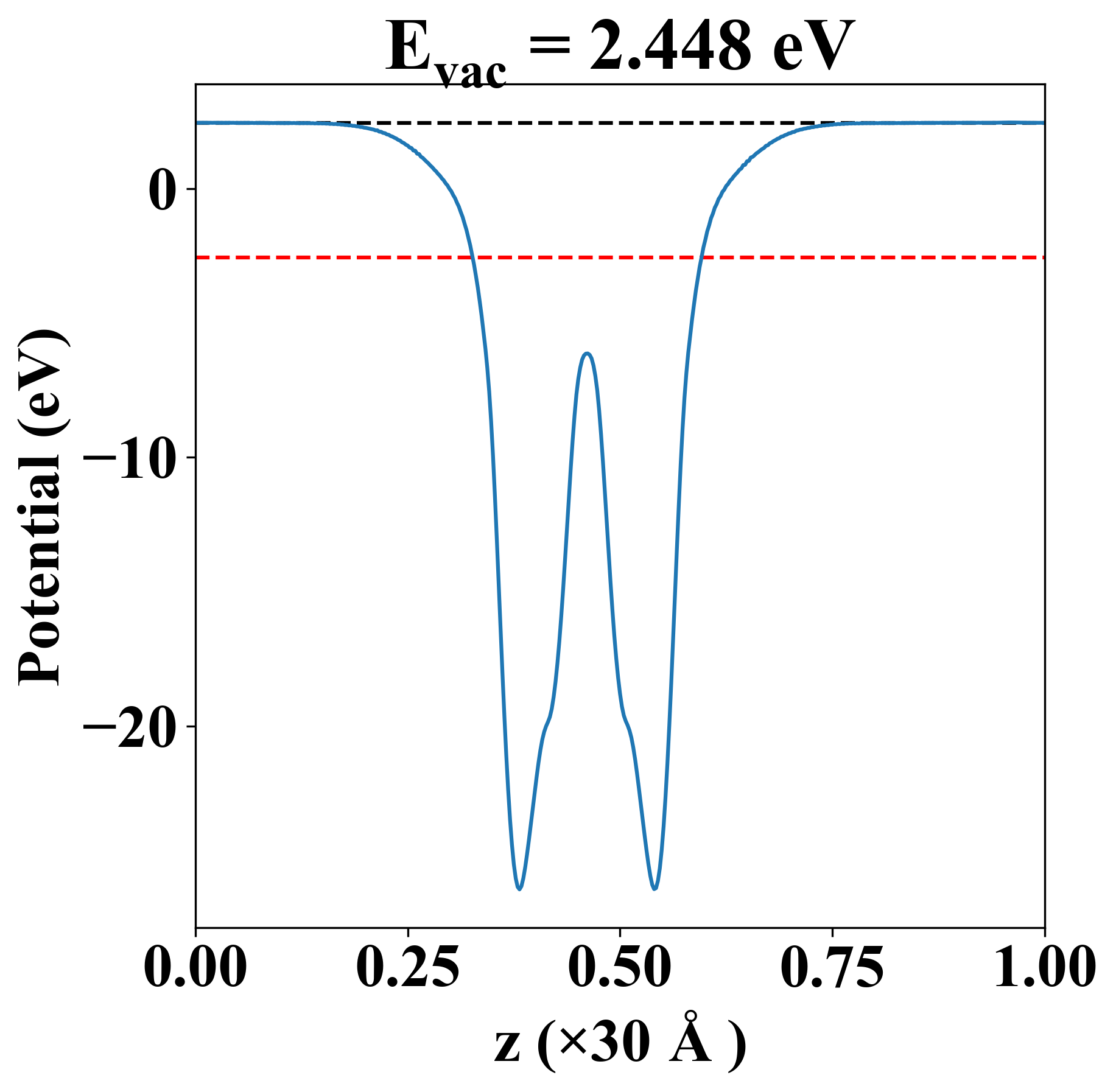
| Vacuum level |
2.448 eV |
| VBM |
-2.772 eV |
| CBM |
-1.363 eV |
| Work function |
5.001 eV |
| Direct gap |
No |
| Property |
Value |
| Band gap |
1.32 eV |
| E-fermi |
-2.458 eV |
| VBM |
-2.685 eV |
| CBM |
-1.360 eV |
| Free energy (eV) |
-13.684 |
| Free energy / atom (eV) |
-3.421 |
| Property |
Value |
| Band gap |
1.41 eV |
| E-fermi |
-2.553 eV |
| Vacuum level |
2.448 eV |
| VBM |
-2.772 eV |
| CBM |
-1.363 eV |
| Work function |
5.001 eV |
| Cij (N/m) |
xx |
yy |
xy |
| xx |
54.377 |
12.621 |
0.000 |
| yy |
12.621 |
54.377 |
-0.000 |
| xy |
0.000 |
-0.000 |
20.878 |
| Phonon mode at Γ point (THz) |
| -0.004 |
| -0.004 |
| -0.004 |
| 1.327 |
| 1.327 |
| 2.754 |
| 5.035 |
| 5.035 |
| 5.217 |
| 5.217 |
| 5.757 |
| 8.374 |
| Property |
Value |
| from where |
sz.tsinghua-33 |