Ga2Te2
MatHub2d-623-Ga2Te2
| Property |
Value |
| Space group |
(187, 'P-6m2') |
| Crystal system |
hexagonal |
| Magnetic |
No |
| Band gap (PBE) (eV) |
1.45 |
| Free energy (eV) |
-13.488 |
| Free energy / atom (eV) |
-3.372 |
Lattice Parameters (basic)
| a, b, c (Å): | 4.140 | 4.140 | 30.000 |
| α, β, γ (°): | 90.000 | 90.000 | 120.000 |
Lattice Parameters (computed)
| a, b, c (Å): | 4.125 | 4.125 | 30.000 |
| α, β, γ (°): | 90.000 | 90.000 | 120.000 |
| Property |
Value |
| Band gap |
1.45 eV |
| E-fermi |
-2.526 eV |
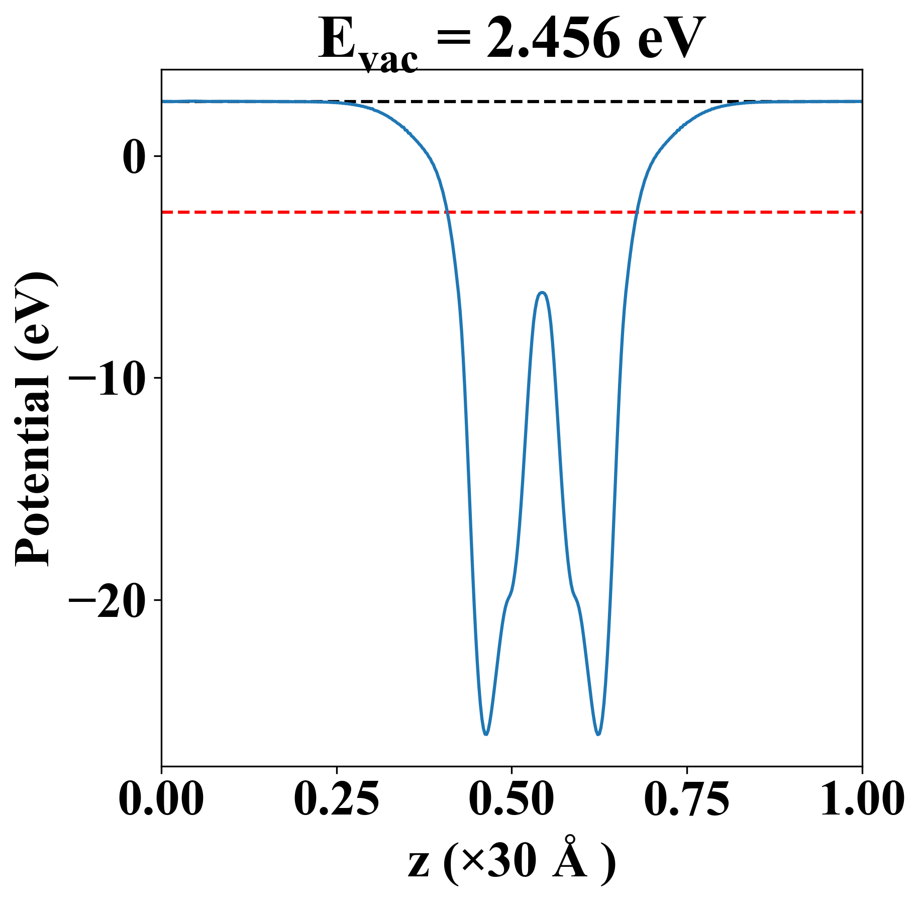
| Vacuum level |
2.456 eV |
| VBM |
-2.794 eV |
| CBM |
-1.348 eV |
| Work function |
4.982 eV |
| Direct gap |
No |
| Property |
Value |
| Band gap |
1.33 eV |
| E-fermi |
-2.445 eV |
| VBM |
-2.688 eV |
| CBM |
-1.353 eV |
| Free energy (eV) |
-13.693 |
| Free energy / atom (eV) |
-3.423 |
| Property |
Value |
| Band gap |
1.45 eV |
| E-fermi |
-2.526 eV |
| Vacuum level |
2.456 eV |
| VBM |
-2.794 eV |
| CBM |
-1.348 eV |
| Work function |
4.982 eV |
| Cij (N/m) |
xx |
yy |
xy |
| xx |
56.523 |
12.557 |
-0.000 |
| yy |
12.557 |
56.523 |
0.000 |
| xy |
-0.000 |
0.000 |
21.983 |
| Phonon mode at Γ point (THz) |
| -0.004 |
| -0.002 |
| -0.002 |
| 1.301 |
| 1.301 |
| 2.804 |
| 5.053 |
| 5.053 |
| 5.236 |
| 5.236 |
| 5.785 |
| 8.317 |
| Property |
Value |
| from where |
sz.tsinghua-32 |