Ga2Se2
MatHub2d-622-Ga2Se2
| Property |
Value |
| Space group |
(187, 'P-6m2') |
| Crystal system |
hexagonal |
| Magnetic |
No |
| Band gap (PBE) (eV) |
1.87 |
| Free energy (eV) |
-15.223 |
| Free energy / atom (eV) |
-3.806 |
Lattice Parameters (basic)
| a, b, c (Å): | 3.824 | 3.824 | 30.000 |
| α, β, γ (°): | 90.000 | 90.000 | 120.000 |
Lattice Parameters (computed)
| a, b, c (Å): | 3.797 | 3.797 | 30.000 |
| α, β, γ (°): | 90.000 | 90.000 | 120.000 |
| Property |
Value |
| Band gap |
1.87 eV |
| E-fermi |
-3.293 eV |
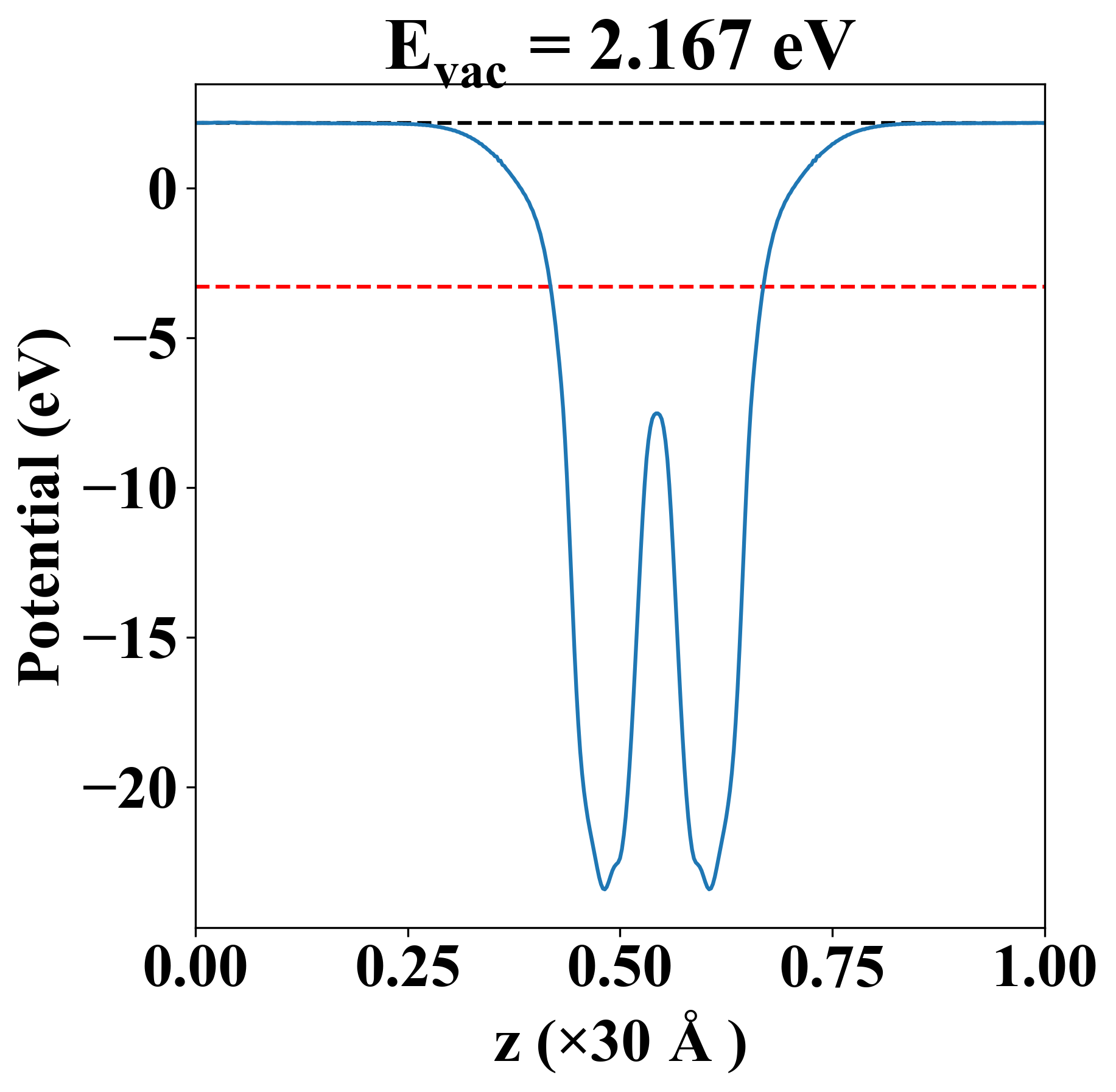
| Vacuum level |
2.167 eV |
| VBM |
-3.575 eV |
| CBM |
-1.706 eV |
| Work function |
5.461 eV |
| Direct gap |
No |
| Property |
Value |
| Band gap |
1.85 eV |
| E-fermi |
-3.263 eV |
| VBM |
-3.555 eV |
| CBM |
-1.706 eV |
| Free energy (eV) |
-15.273 |
| Free energy / atom (eV) |
-3.818 |
| Property |
Value |
| Band gap |
1.87 eV |
| E-fermi |
-3.293 eV |
| Vacuum level |
2.167 eV |
| VBM |
-3.575 eV |
| CBM |
-1.706 eV |
| Work function |
5.461 eV |
| Cij (N/m) |
xx |
yy |
xy |
| xx |
70.962 |
16.720 |
-0.000 |
| yy |
16.720 |
70.962 |
0.000 |
| xy |
-0.000 |
0.000 |
27.121 |
| Phonon mode at Γ point (THz) |
| -0.002 |
| 0.001 |
| 0.001 |
| 1.643 |
| 1.643 |
| 3.700 |
| 6.071 |
| 6.071 |
| 6.234 |
| 6.234 |
| 7.116 |
| 8.973 |
| Property |
Value |
| from where |
c2db-1628 |