Ga2Se2
MatHub2d-621-Ga2Se2
| Property |
Value |
| Space group |
(164, 'P-3m1') |
| Crystal system |
hexagonal |
| Magnetic |
No |
| Band gap (PBE) (eV) |
1.73 |
| Free energy (eV) |
-15.208 |
| Free energy / atom (eV) |
-3.802 |
Lattice Parameters (basic)
| a, b, c (Å): | 3.827 | 3.827 | 30.000 |
| α, β, γ (°): | 90.000 | 90.000 | 120.000 |
Lattice Parameters (computed)
| a, b, c (Å): | 3.809 | 3.809 | 30.000 |
| α, β, γ (°): | 90.000 | 90.000 | 120.000 |
| Property |
Value |
| Band gap |
1.73 eV |
| E-fermi |
-3.325 eV |
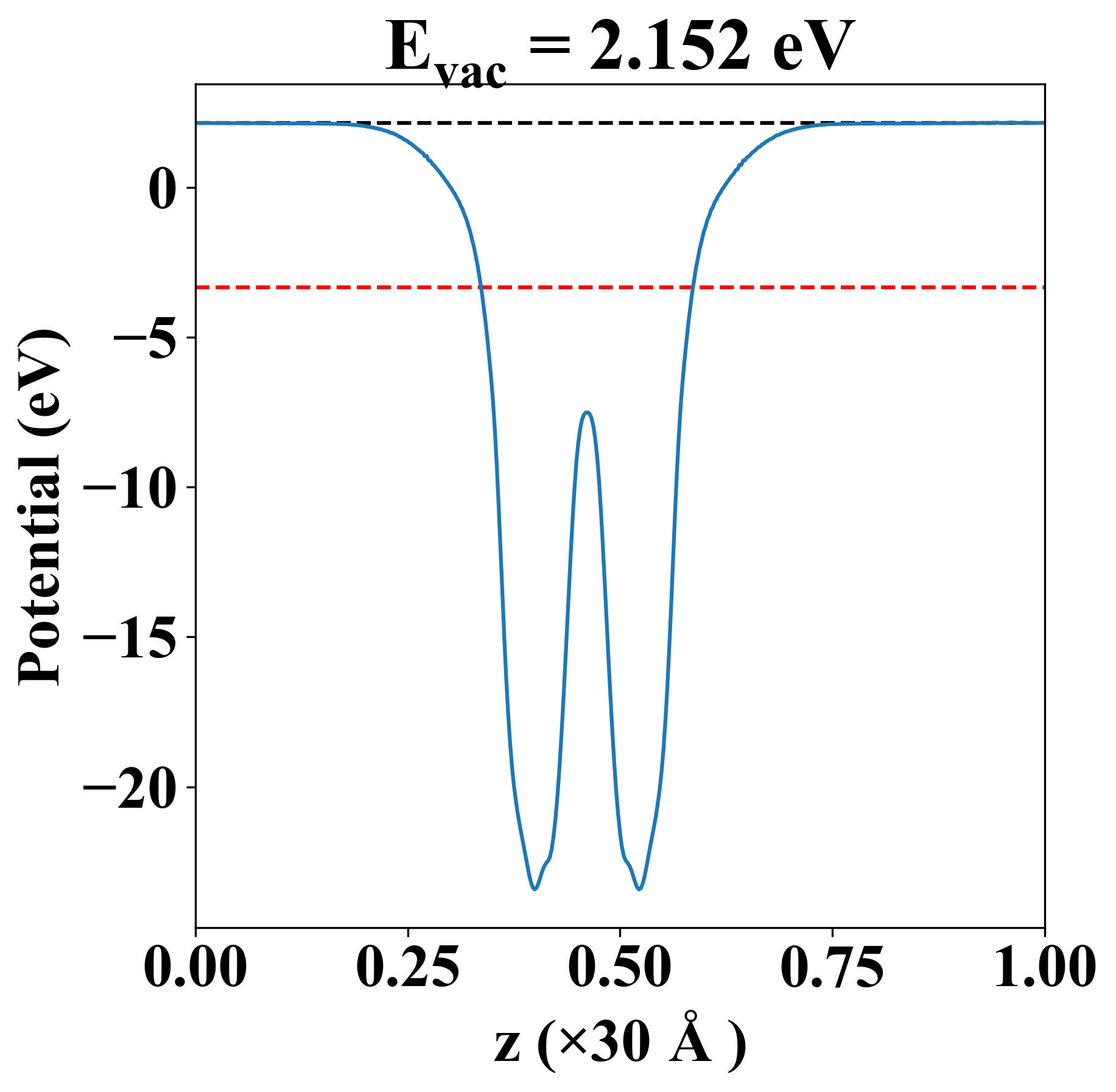
| Vacuum level |
2.152 eV |
| VBM |
-3.552 eV |
| CBM |
-1.826 eV |
| Work function |
5.477 eV |
| Direct gap |
No |
| Property |
Value |
| Band gap |
1.71 eV |
| E-fermi |
-3.281 eV |
| VBM |
-3.542 eV |
| CBM |
-1.827 eV |
| Free energy (eV) |
-15.258 |
| Free energy / atom (eV) |
-3.815 |
| Property |
Value |
| Band gap |
1.73 eV |
| E-fermi |
-3.325 eV |
| Vacuum level |
2.152 eV |
| VBM |
-3.552 eV |
| CBM |
-1.826 eV |
| Work function |
5.477 eV |
| Cij (N/m) |
xx |
yy |
xy |
| xx |
67.629 |
17.072 |
-0.000 |
| yy |
17.072 |
67.629 |
0.000 |
| xy |
-0.000 |
0.000 |
25.279 |
| Phonon mode at Γ point (THz) |
| -0.010 |
| -0.005 |
| -0.005 |
| 1.659 |
| 1.659 |
| 3.662 |
| 6.023 |
| 6.023 |
| 6.186 |
| 6.186 |
| 7.071 |
| 9.011 |
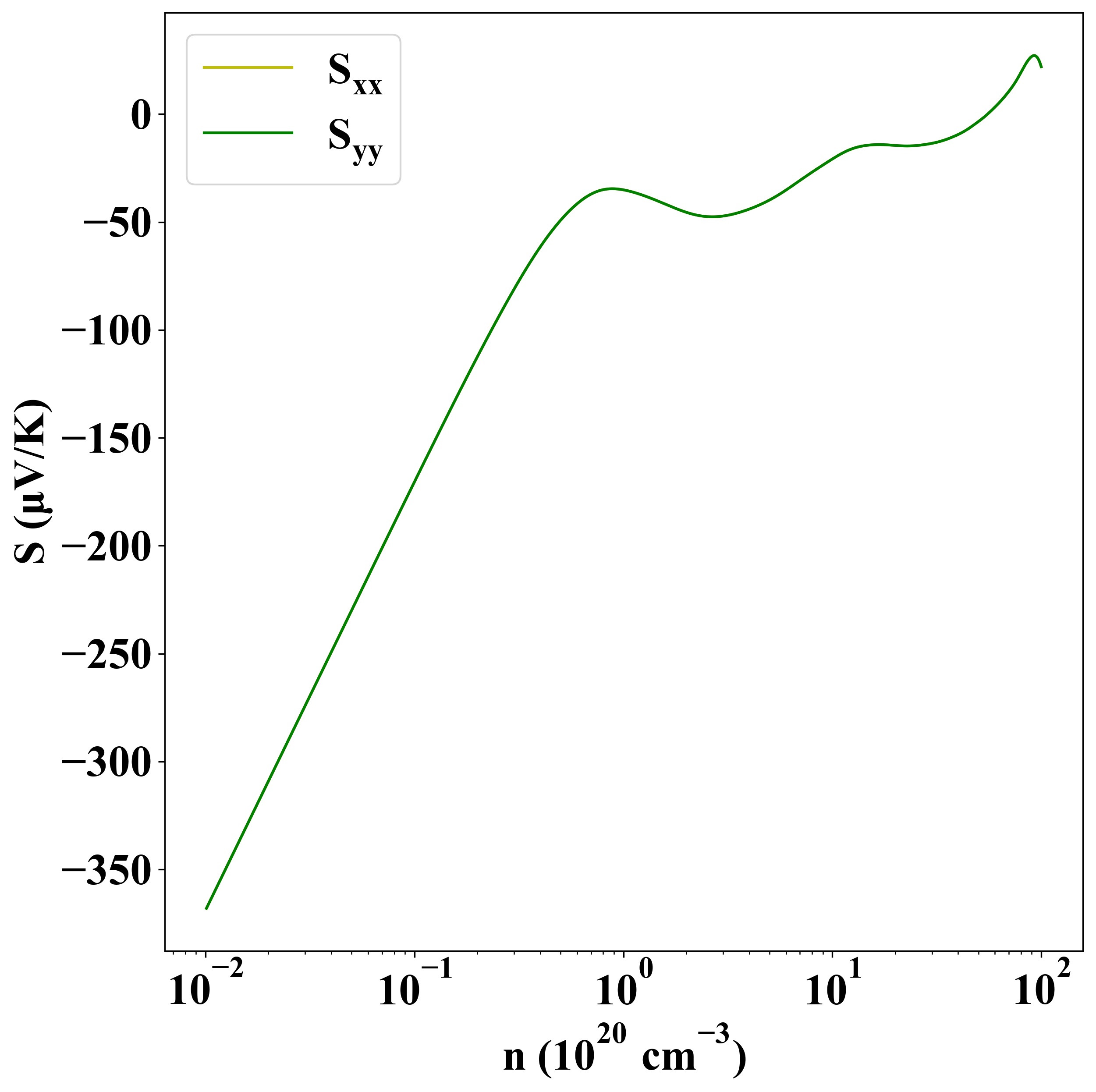
| Carrier type |
C2D (N/m) |
Edef (eV) |
μ (cm2V-1s-1) |
| x |
y |
x |
y |
x |
y |
| hole |
68.18 |
68.12 |
2.11 |
1.87 |
-63.38 |
-80.28 |
| electron |
-9.23 |
-9.22 |
177.62 |
177.77 |
| Property |
Value |
| from where |
sz.tsinghua-31 |