Ga2S4V1
MatHub2d-620-Ga2S4V1
| Property |
Value |
| Space group |
(164, 'P-3m1') |
| Crystal system |
hexagonal |
| Magnetic |
Yes |
| Band gap (PBE) (eV) |
0.00 |
| Free energy (eV) |
-35.148 |
| Free energy / atom (eV) |
-5.021 |
Lattice Parameters (basic)
| a, b, c (Å): | 3.600 | 3.600 | 30.000 |
| α, β, γ (°): | 90.000 | 90.000 | 120.000 |
Lattice Parameters (computed)
| a, b, c (Å): | 3.712 | 3.712 | 30.000 |
| α, β, γ (°): | 90.000 | 90.000 | 120.000 |
| Property |
Value |
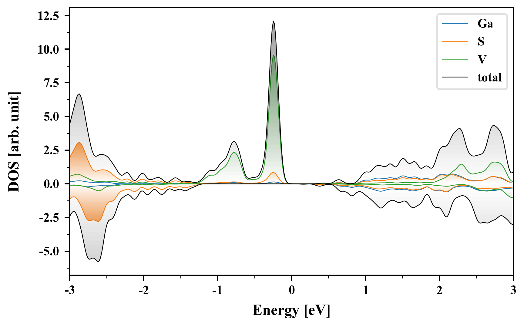
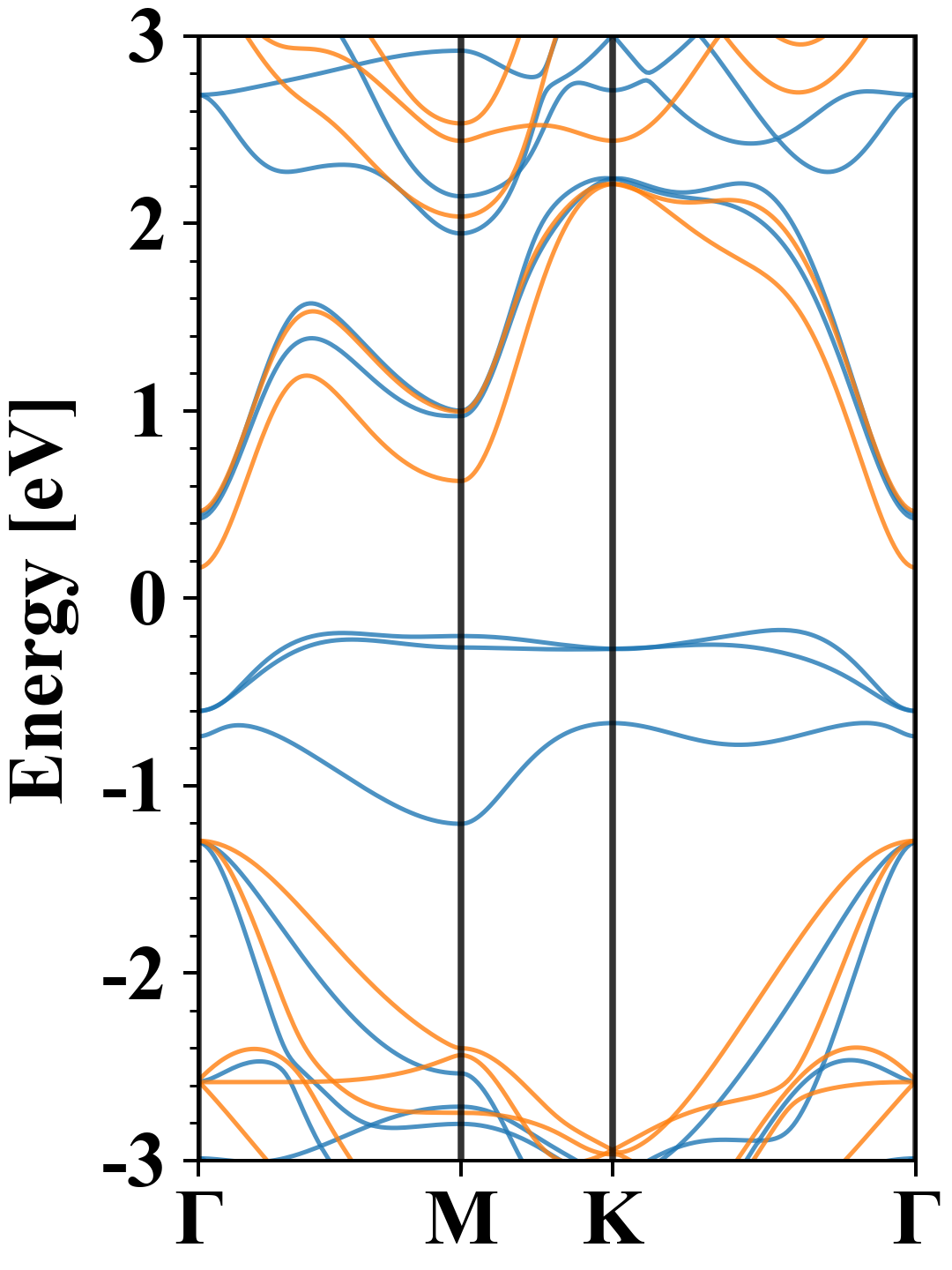
| Band gap |
0.00 eV |
| E-fermi |
-0.464 eV |
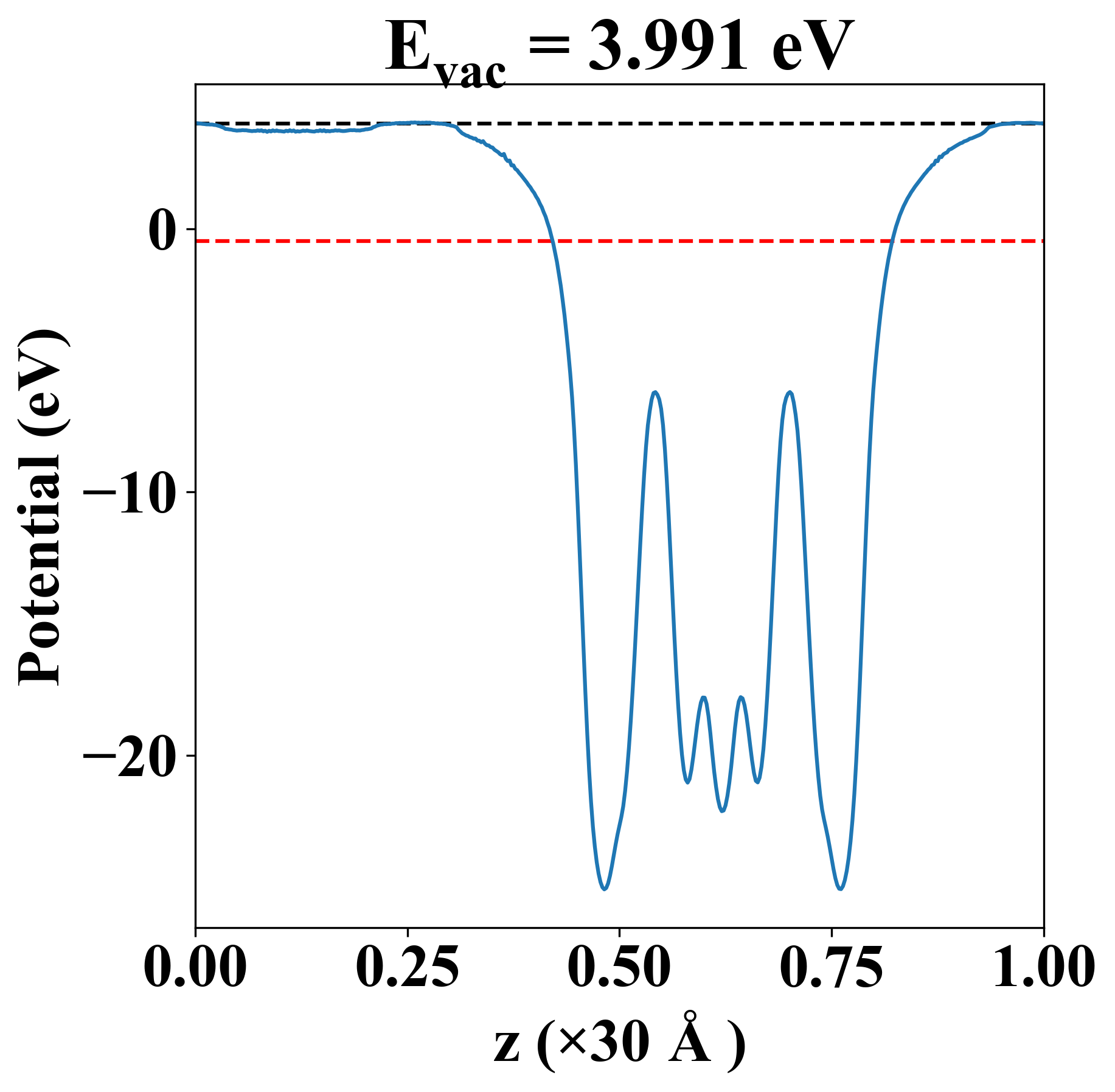
| Vacuum level |
3.991 eV |
| VBM |
-0.634 eV |
| CBM |
-0.301 eV |
| Work function |
4.455 eV |
| Direct gap |
No |
| Property |
Value |
| Band gap |
0.33 eV |
| E-fermi |
-0.470 eV |
| VBM |
-0.640 eV |
| CBM |
-0.308 eV |
| Free energy (eV) |
-35.171 |
| Free energy / atom (eV) |
-5.024 |
| Property |
Value |
| Band gap |
0.00 eV |
| E-fermi |
-0.464 eV |
| Vacuum level |
3.991 eV |
| VBM |
-0.634 eV |
| CBM |
-0.301 eV |
| Work function |
4.455 eV |
| Cij (N/m) |
xx |
yy |
xy |
| xx |
94.636 |
30.176 |
0.000 |
| yy |
30.176 |
94.636 |
-0.000 |
| xy |
0.000 |
-0.000 |
32.230 |
| Phonon mode at Γ point (THz) |
| -0.018 |
| -0.018 |
| -0.010 |
| 0.963 |
| 0.963 |
| 1.610 |
| 1.610 |
| 3.117 |
| 5.692 |
| 5.692 |
| 5.843 |
| 7.463 |
| 7.463 |
| 8.252 |
| 8.252 |
| 8.428 |
| 8.459 |
| 8.459 |
| 8.685 |
| 11.960 |
| 12.948 |
| Property |
Value |
| from where |
sz.tsinghua-108 |