Ga2S4Ti1

MatHub2d-619-Ga2S4Ti1

Property Value
Space group (164, 'P-3m1')
Crystal system hexagonal
Magnetic Yes
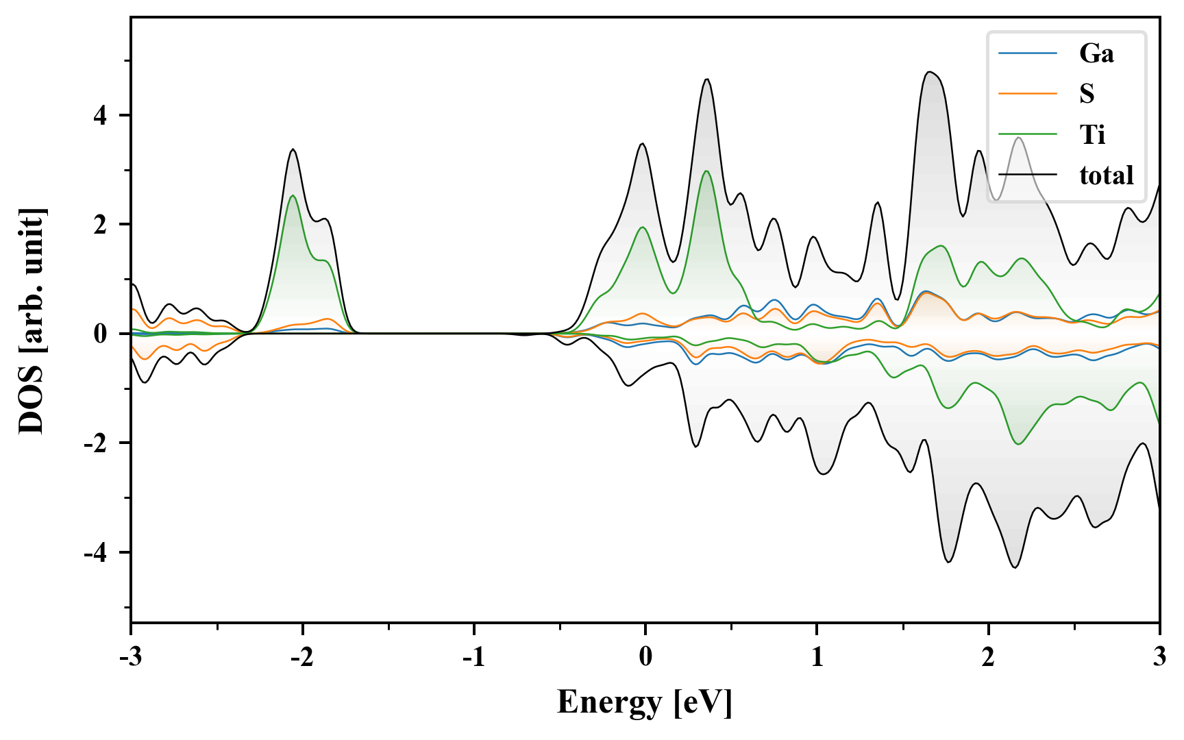
Band gap (PBE) (eV) 0.00
Free energy (eV) -33.566
Free energy / atom (eV) -4.795

Lattice Parameters (basic)

a, b, c (Å): 3.606 3.606 30.000
α, β, γ (°): 90.000 90.000 120.000

Lattice Parameters (computed)

a, b, c (Å): 3.753 3.753 30.000
α, β, γ (°): 90.000 90.000 120.000
Ga2S4Ti1
Property Value
Band gap 0.00 eV
E-fermi 0.087 eV
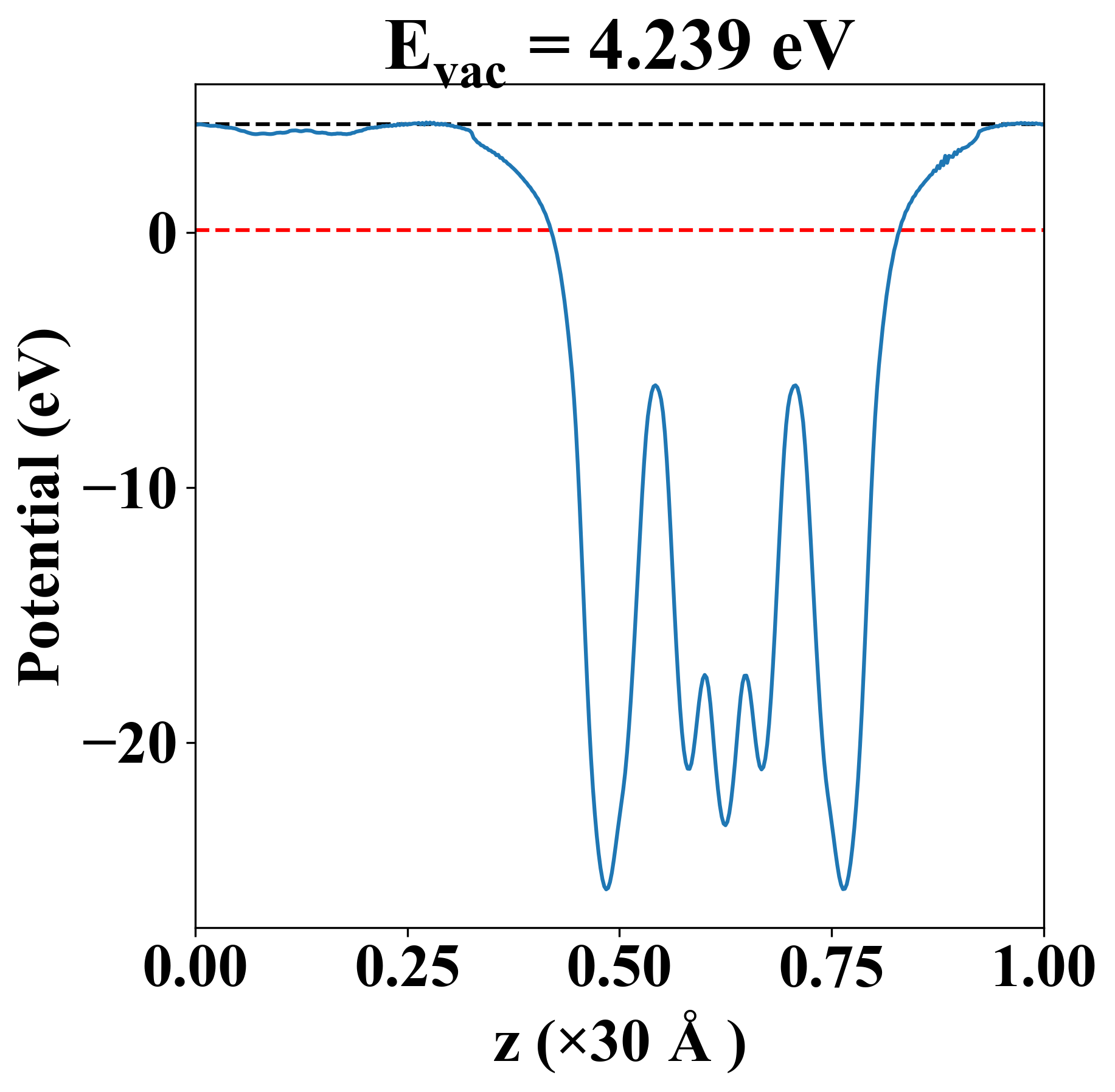
Vacuum level 4.239 eV
VBM 0.085 eV
CBM 0.087 eV
Work function 4.153 eV
Direct gap No
Ga2S4Ti1



Ga2S4Ti1
Property Value
Band gap 0.00 eV
E-fermi 0.087 eV
Vacuum level 4.239 eV
VBM 0.085 eV
CBM 0.087 eV
Work function 4.153 eV
Cij (N/m) xx yy xy
xx 87.512 23.930 0.000
yy 23.930 87.512 -0.000
xy 0.000 -0.000 31.791
Phonon mode at Γ point (THz)
-0.021
-0.021
-0.006
1.146
1.146
1.932
1.932
3.007
5.920
6.002
6.002
7.151
7.151
7.837
8.519
8.562
8.562
8.617
8.617
11.360
11.827

Property Value
from where sz.tsinghua-106