Ga2S2
MatHub2d-618-Ga2S2
| Property |
Value |
| Space group |
(187, 'P-6m2') |
| Crystal system |
hexagonal |
| Magnetic |
No |
| Band gap (PBE) (eV) |
2.40 |
| Free energy (eV) |
-16.815 |
| Free energy / atom (eV) |
-4.204 |
Lattice Parameters (basic)
| a, b, c (Å): | 3.645 | 3.645 | 30.000 |
| α, β, γ (°): | 90.000 | 90.000 | 120.000 |
Lattice Parameters (computed)
| a, b, c (Å): | 3.595 | 3.595 | 30.000 |
| α, β, γ (°): | 90.000 | 90.000 | 120.000 |
| Property |
Value |
| Band gap |
2.40 eV |
| E-fermi |
-3.510 eV |
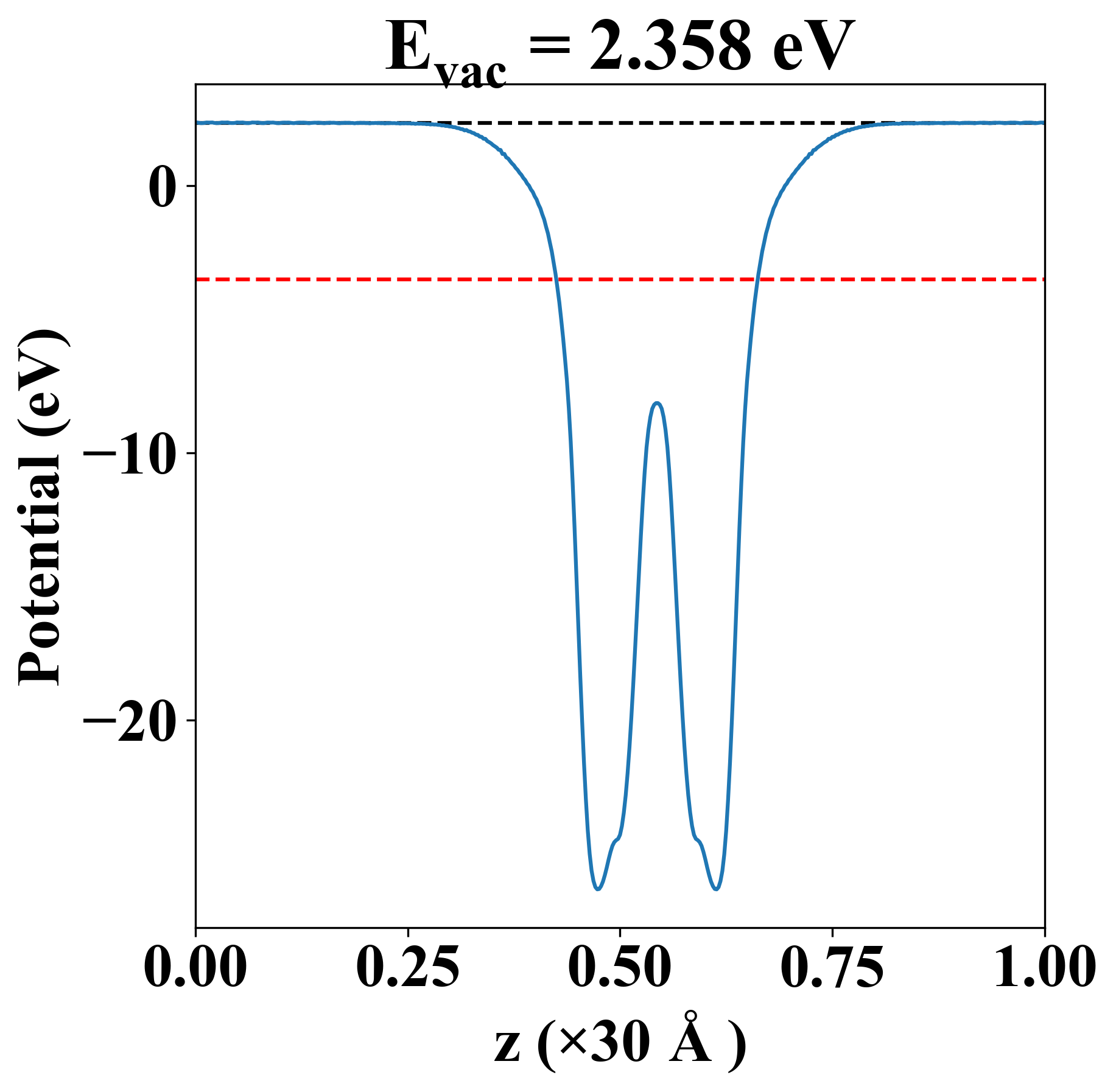
| Vacuum level |
2.358 eV |
| VBM |
-3.763 eV |
| CBM |
-1.365 eV |
| Work function |
5.868 eV |
| Direct gap |
No |
| Property |
Value |
| Band gap |
2.39 eV |
| E-fermi |
-3.490 eV |
| VBM |
-3.763 eV |
| CBM |
-1.369 eV |
| Free energy (eV) |
-16.828 |
| Free energy / atom (eV) |
-4.207 |
| Property |
Value |
| Band gap |
2.40 eV |
| E-fermi |
-3.510 eV |
| Vacuum level |
2.358 eV |
| VBM |
-3.763 eV |
| CBM |
-1.365 eV |
| Work function |
5.868 eV |
| Cij (N/m) |
xx |
yy |
xy |
| xx |
85.577 |
20.919 |
0.000 |
| yy |
20.919 |
85.577 |
0.000 |
| xy |
0.000 |
0.000 |
32.329 |
| Phonon mode at Γ point (THz) |
| -0.003 |
| 0.001 |
| 0.001 |
| 2.080 |
| 2.080 |
| 5.270 |
| 8.630 |
| 8.630 |
| 8.769 |
| 8.769 |
| 9.843 |
| 10.646 |
| Property |
Value |
| from where |
c2db-1627 |