Ga2S2
MatHub2d-617-Ga2S2
| Property |
Value |
| Space group |
(164, 'P-3m1') |
| Crystal system |
hexagonal |
| Magnetic |
No |
| Band gap (PBE) (eV) |
2.44 |
| Free energy (eV) |
-16.793 |
| Free energy / atom (eV) |
-4.198 |
Lattice Parameters (basic)
| a, b, c (Å): | 3.623 | 3.623 | 30.000 |
| α, β, γ (°): | 90.000 | 90.000 | 120.000 |
Lattice Parameters (computed)
| a, b, c (Å): | 3.604 | 3.604 | 30.000 |
| α, β, γ (°): | 90.000 | 90.000 | 120.000 |
| Property |
Value |
| Band gap |
2.44 eV |
| E-fermi |
-3.489 eV |
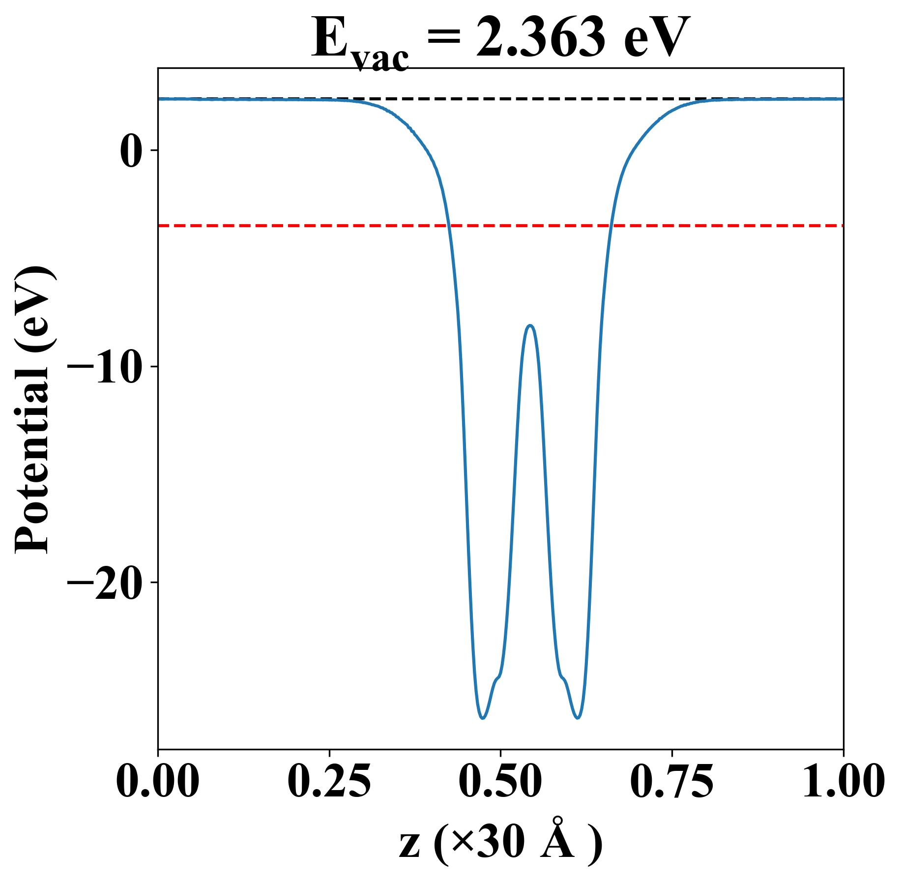
| Vacuum level |
2.363 eV |
| VBM |
-3.739 eV |
| CBM |
-1.303 eV |
| Work function |
5.852 eV |
| Direct gap |
No |
| Property |
Value |
| Band gap |
2.43 eV |
| E-fermi |
-3.438 eV |
| VBM |
-3.742 eV |
| CBM |
-1.308 eV |
| Free energy (eV) |
-16.806 |
| Free energy / atom (eV) |
-4.202 |
| Property |
Value |
| Band gap |
2.44 eV |
| E-fermi |
-3.489 eV |
| Vacuum level |
2.363 eV |
| VBM |
-3.739 eV |
| CBM |
-1.303 eV |
| Work function |
5.852 eV |
| Cij (N/m) |
xx |
yy |
xy |
| xx |
81.893 |
21.250 |
0.000 |
| yy |
21.250 |
81.893 |
-0.000 |
| xy |
0.000 |
-0.000 |
30.321 |
| Phonon mode at Γ point (THz) |
| -0.008 |
| -0.003 |
| -0.003 |
| 2.100 |
| 2.100 |
| 5.232 |
| 8.559 |
| 8.559 |
| 8.685 |
| 8.685 |
| 9.791 |
| 10.650 |
| Property |
Value |
| from where |
JVASP-7054 |