Ga2O2
MatHub2d-616-Ga2O2
| Property |
Value |
| Space group |
(187, 'P-6m2') |
| Crystal system |
hexagonal |
| Magnetic |
No |
| Band gap (PBE) (eV) |
1.73 |
| Free energy (eV) |
-22.156 |
| Free energy / atom (eV) |
-5.539 |
Lattice Parameters (basic)
| a, b, c (Å): | 3.133 | 3.133 | 30.000 |
| α, β, γ (°): | 90.000 | 90.000 | 120.000 |
Lattice Parameters (computed)
| a, b, c (Å): | 3.034 | 3.034 | 30.000 |
| α, β, γ (°): | 90.000 | 90.000 | 120.000 |
| Property |
Value |
| Band gap |
1.73 eV |
| E-fermi |
-4.156 eV |
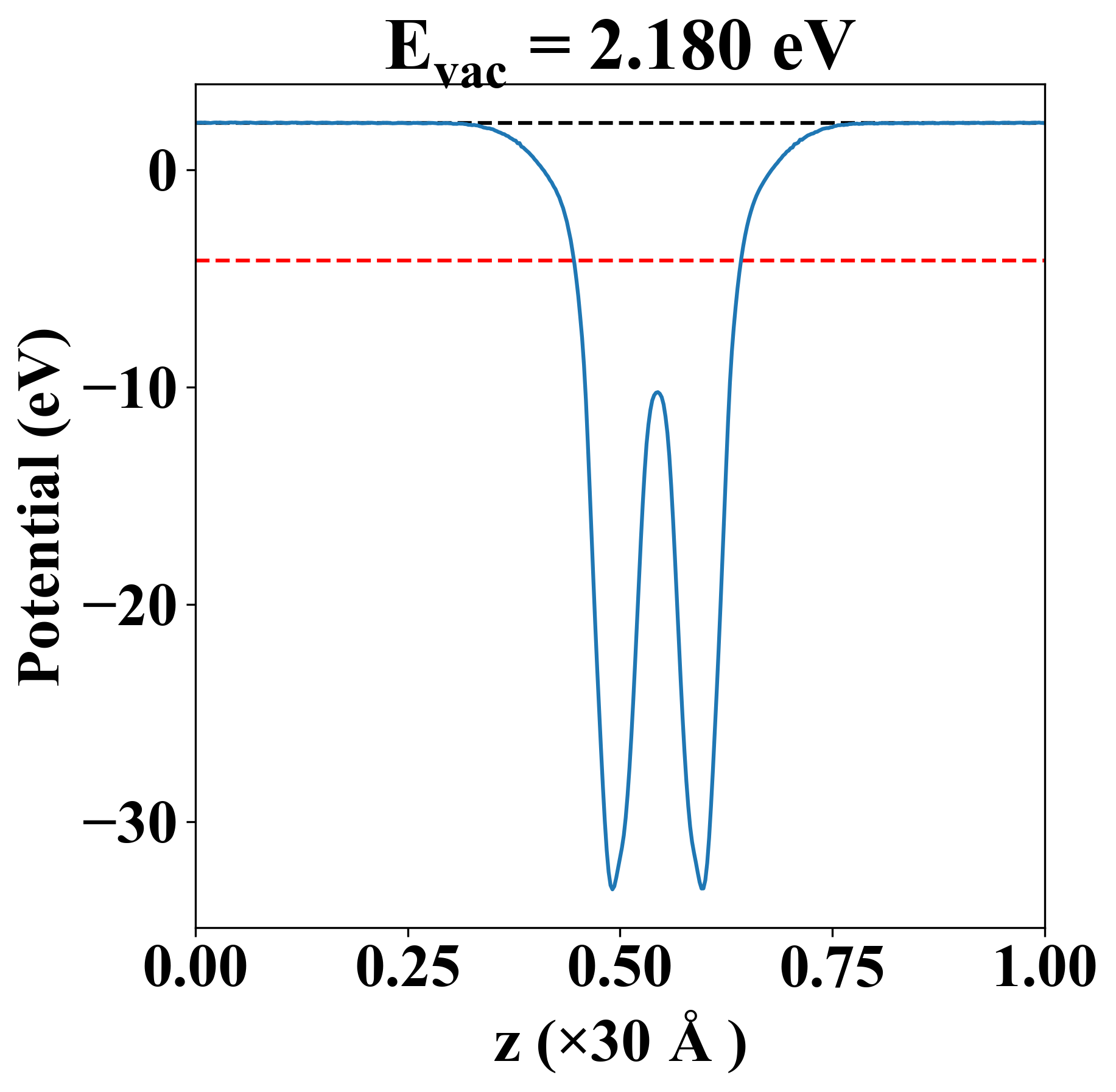
| Vacuum level |
2.180 eV |
| VBM |
-4.415 eV |
| CBM |
-2.683 eV |
| Work function |
6.336 eV |
| Direct gap |
No |
| Property |
Value |
| Band gap |
1.73 eV |
| E-fermi |
-4.200 eV |
| VBM |
-4.422 eV |
| CBM |
-2.691 eV |
| Free energy (eV) |
-22.166 |
| Free energy / atom (eV) |
-5.542 |
| Property |
Value |
| Band gap |
1.73 eV |
| E-fermi |
-4.156 eV |
| Vacuum level |
2.180 eV |
| VBM |
-4.415 eV |
| CBM |
-2.683 eV |
| Work function |
6.336 eV |
| Cij (N/m) |
xx |
yy |
xy |
| xx |
151.555 |
62.435 |
0.000 |
| yy |
62.435 |
151.555 |
-0.000 |
| xy |
0.000 |
-0.000 |
44.560 |
| Phonon mode at Γ point (THz) |
| -0.009 |
| -0.009 |
| -0.005 |
| 2.252 |
| 2.252 |
| 6.157 |
| 14.767 |
| 15.304 |
| 15.452 |
| 15.452 |
| 15.462 |
| 15.462 |
| Carrier type |
C2D (N/m) |
Edef (eV) |
μ (cm2V-1s-1) |
| x |
y |
x |
y |
x |
y |
| hole |
149.61 |
149.80 |
2.88 |
2.92 |
-33.81 |
-32.77 |
| electron |
-3.32 |
-3.36 |
4726.27 |
4636.86 |
| Property |
Value |
| from where |
c2db-1626 |