Ga2Ni1S4
MatHub2d-615-Ga2Ni1S4
| Property |
Value |
| Space group |
(164, 'P-3m1') |
| Crystal system |
hexagonal |
| Magnetic |
Yes |
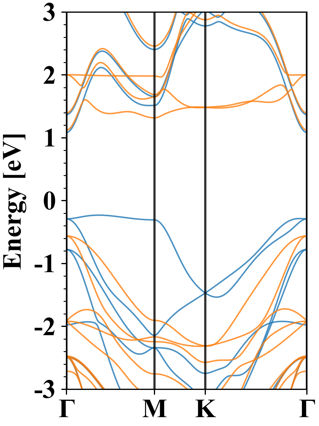
| Band gap (PBE) (eV) |
1.32 |
| Free energy (eV) |
-29.846 |
| Free energy / atom (eV) |
-4.264 |
Lattice Parameters (basic)
| a, b, c (Å): | 3.638 | 3.638 | 30.000 |
| α, β, γ (°): | 90.000 | 90.000 | 120.000 |
Lattice Parameters (computed)
| a, b, c (Å): | 3.642 | 3.642 | 30.000 |
| α, β, γ (°): | 90.000 | 90.000 | 120.000 |
| Property |
Value |
| Band gap |
1.32 eV |
| E-fermi |
-0.960 eV |
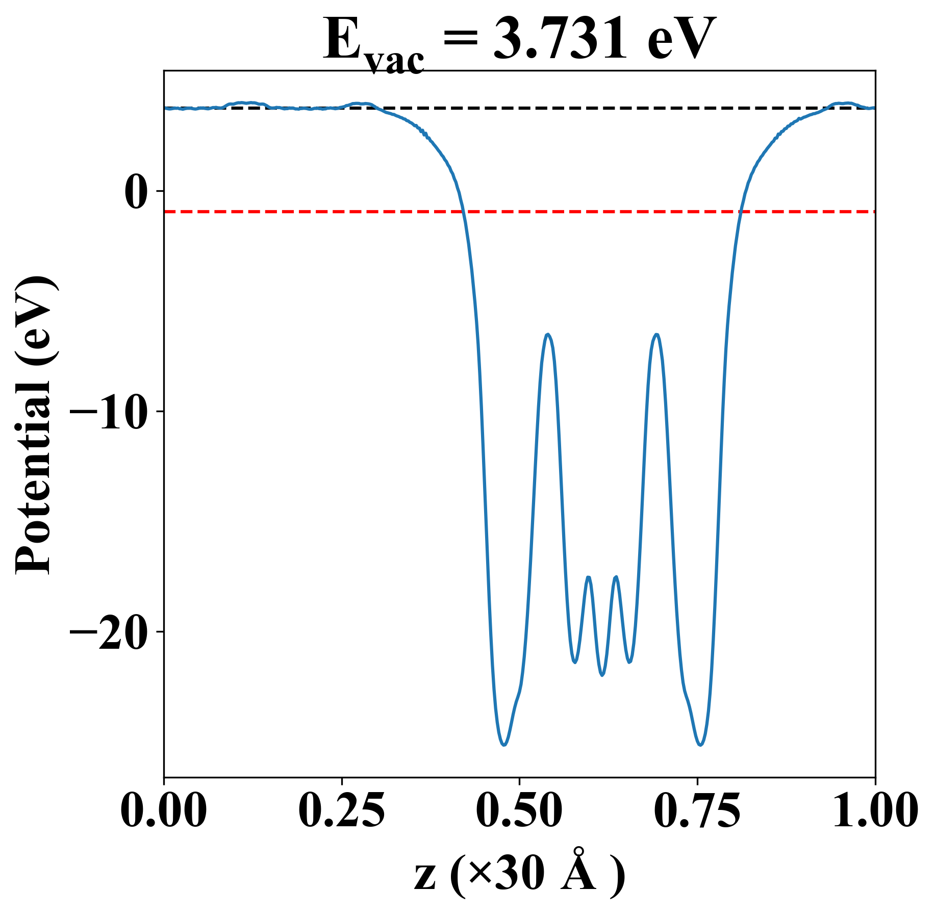
| Vacuum level |
3.731 eV |
| VBM |
-1.191 eV |
| CBM |
0.125 eV |
| Work function |
4.691 eV |
| Direct gap |
No |
| Property |
Value |
| Band gap |
1.32 eV |
| E-fermi |
-0.938 eV |
| VBM |
-1.194 eV |
| CBM |
0.122 eV |
| Free energy (eV) |
-29.872 |
| Free energy / atom (eV) |
-4.267 |
| Property |
Value |
| Band gap |
1.32 eV |
| E-fermi |
-0.960 eV |
| Vacuum level |
3.731 eV |
| VBM |
-1.191 eV |
| CBM |
0.125 eV |
| Work function |
4.691 eV |
| Cij (N/m) |
xx |
yy |
xy |
| xx |
119.478 |
44.094 |
0.000 |
| yy |
44.094 |
119.478 |
-0.000 |
| xy |
0.000 |
-0.000 |
37.692 |
| Phonon mode at Γ point (THz) |
| -0.038 |
| -0.038 |
| -0.018 |
| 0.460 |
| 0.460 |
| 1.246 |
| 1.246 |
| 3.101 |
| 3.259 |
| 4.665 |
| 4.665 |
| 6.840 |
| 6.840 |
| 8.586 |
| 8.586 |
| 8.611 |
| 8.611 |
| 8.681 |
| 9.125 |
| 12.272 |
| 13.193 |
| Property |
Value |
| from where |
sz.tsinghua-75 |