Ga2Mn1S4
MatHub2d-614-Ga2Mn1S4
| Property |
Value |
| Space group |
(164, 'P-3m1') |
| Crystal system |
hexagonal |
| Magnetic |
Yes |
| Band gap (PBE) (eV) |
0.00 |
| Free energy (eV) |
-34.890 |
| Free energy / atom (eV) |
-4.984 |
Lattice Parameters (basic)
| a, b, c (Å): | 3.625 | 3.625 | 30.000 |
| α, β, γ (°): | 90.000 | 90.000 | 120.000 |
Lattice Parameters (computed)
| a, b, c (Å): | 3.724 | 3.724 | 30.000 |
| α, β, γ (°): | 90.000 | 90.000 | 120.000 |
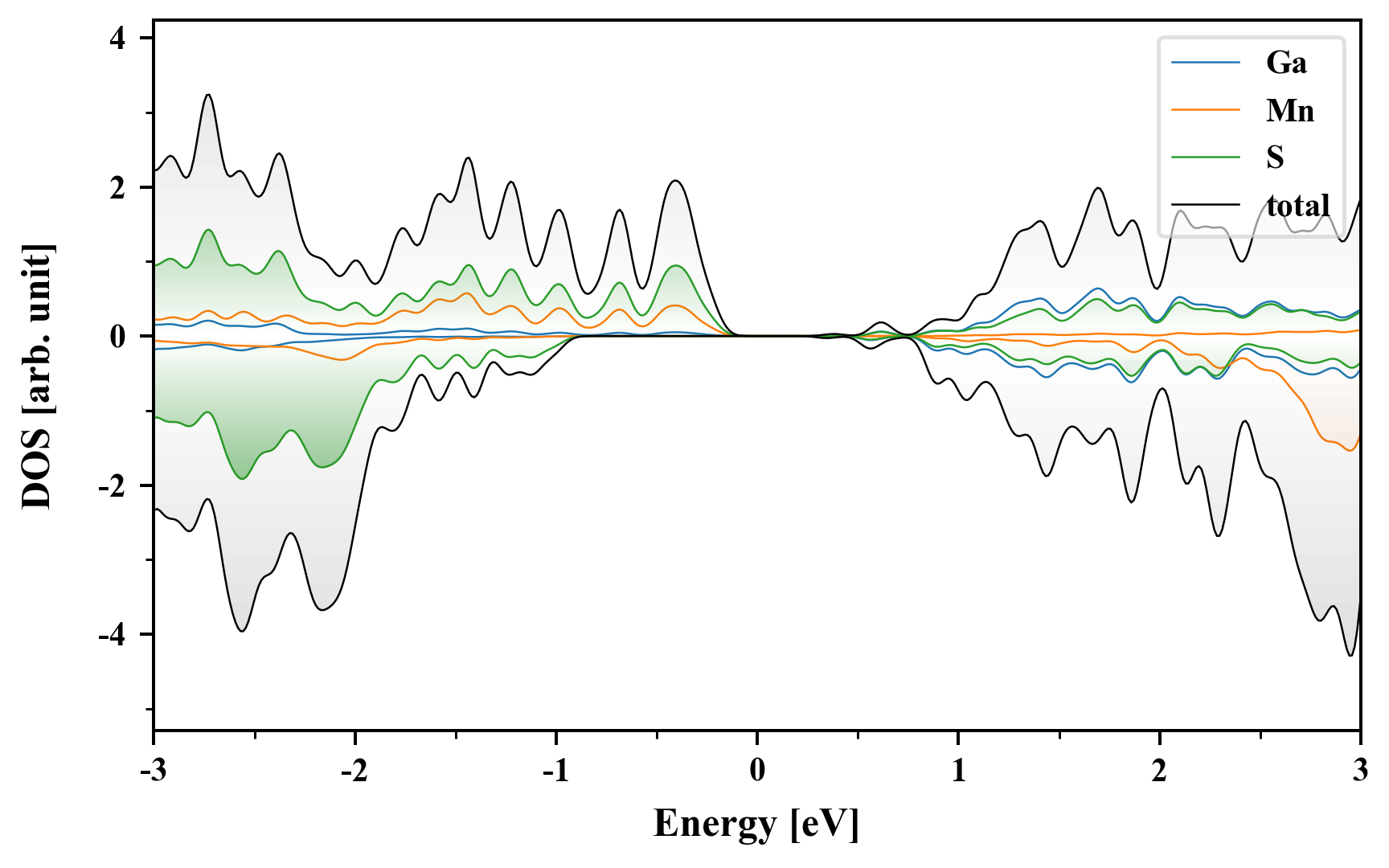
| Property |
Value |
| Band gap |
0.00 eV |
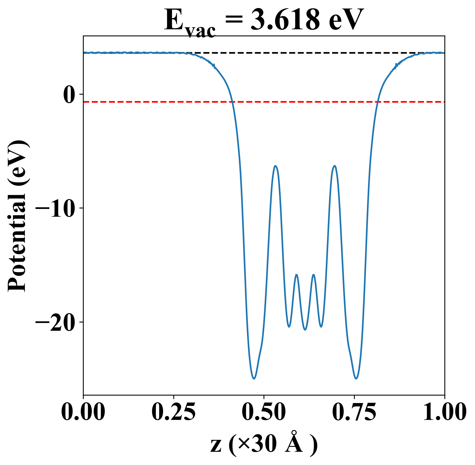
| E-fermi |
-0.686 eV |
| Vacuum level |
3.618 eV |
| VBM |
-0.995 eV |
| CBM |
-0.442 eV |
| Work function |
4.304 eV |
| Direct gap |
Yes |
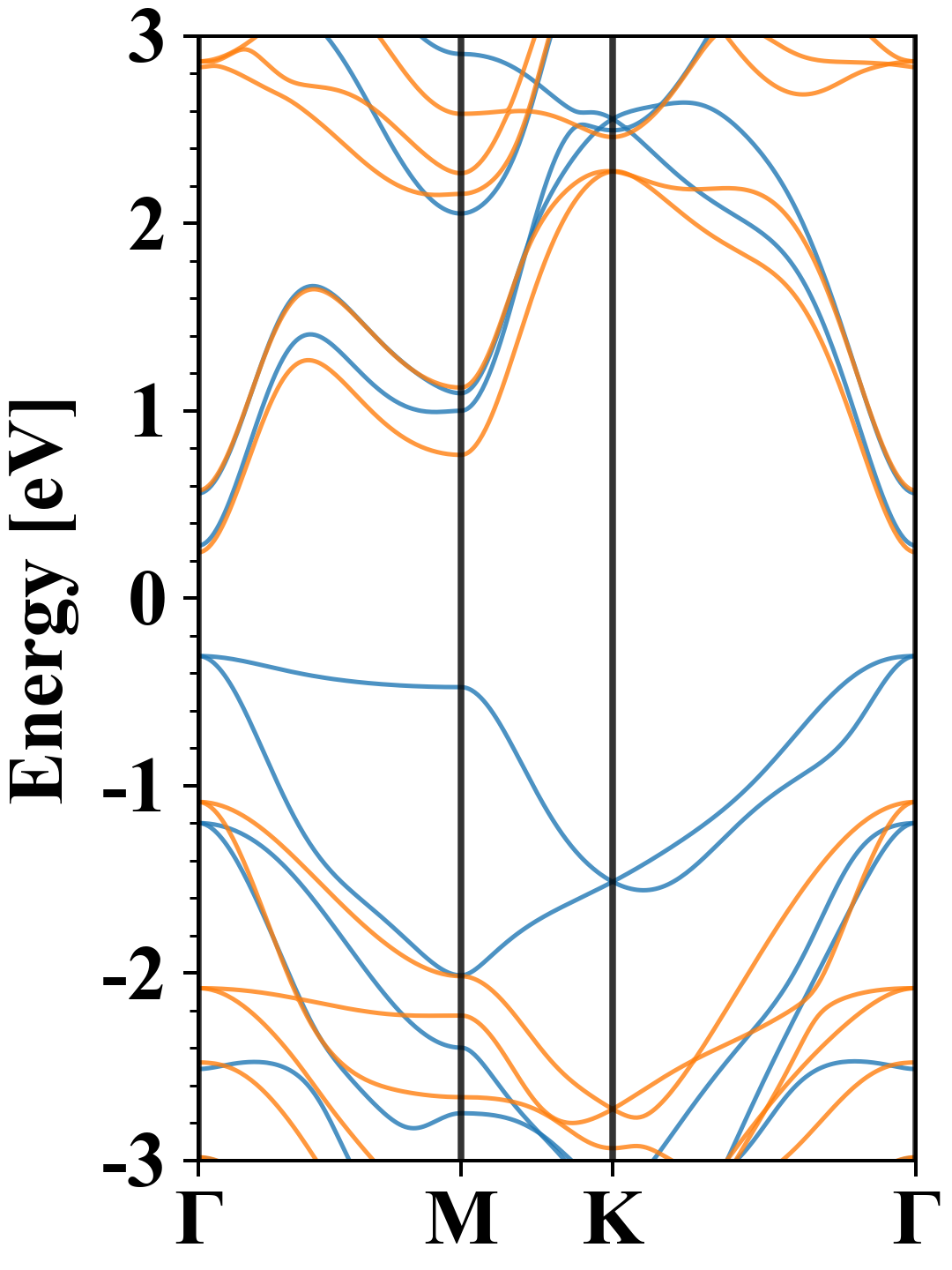
| Property |
Value |
| Band gap |
0.54 eV |
| E-fermi |
-0.691 eV |
| VBM |
-0.989 eV |
| CBM |
-0.447 eV |
| Free energy (eV) |
-34.919 |
| Free energy / atom (eV) |
-4.988 |
| Property |
Value |
| Band gap |
0.00 eV |
| E-fermi |
-0.686 eV |
| Vacuum level |
3.618 eV |
| VBM |
-0.995 eV |
| CBM |
-0.442 eV |
| Work function |
4.304 eV |
| Cij (N/m) |
xx |
yy |
xy |
| xx |
108.605 |
32.303 |
-0.000 |
| yy |
32.303 |
108.605 |
-0.000 |
| xy |
-0.000 |
-0.000 |
38.151 |
| Phonon mode at Γ point (THz) |
| -0.092 |
| -0.092 |
| -0.078 |
| 0.868 |
| 0.868 |
| 0.954 |
| 0.954 |
| 2.037 |
| 2.498 |
| 4.158 |
| 4.158 |
| 6.171 |
| 6.171 |
| 8.096 |
| 8.104 |
| 8.104 |
| 8.187 |
| 8.187 |
| 8.354 |
| 11.606 |
| 12.592 |
| Property |
Value |
| from where |
sz.tsinghua-54 |