Ga2I6
MatHub2d-613-Ga2I6
| Property |
Value |
| Space group |
(189, 'P-62m') |
| Crystal system |
hexagonal |
| Magnetic |
No |
| Band gap (PBE) (eV) |
0.34 |
| Free energy (eV) |
-16.498 |
| Free energy / atom (eV) |
-2.062 |
Lattice Parameters (basic)
| a, b, c (Å): | 7.336 | 7.336 | 30.000 |
| α, β, γ (°): | 90.000 | 90.000 | 120.000 |
Lattice Parameters (computed)
| a, b, c (Å): | 7.315 | 7.315 | 30.000 |
| α, β, γ (°): | 90.000 | 90.000 | 120.000 |
| Property |
Value |
| Band gap |
0.34 eV |
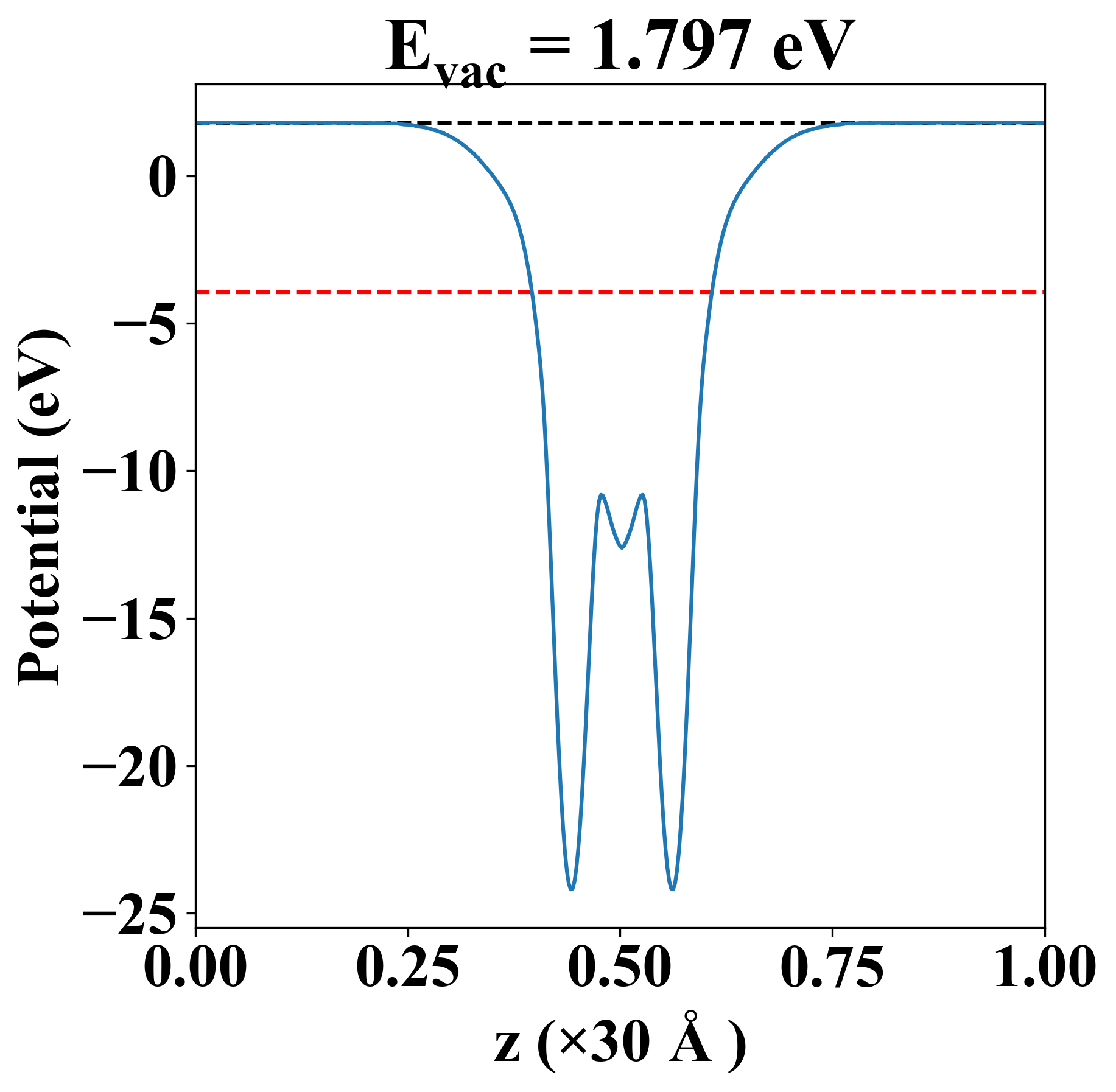
| E-fermi |
-3.938 eV |
| Vacuum level |
1.797 eV |
| VBM |
-4.112 eV |
| CBM |
-3.770 eV |
| Work function |
5.735 eV |
| Direct gap |
Yes |
| Property |
Value |
| Band gap |
0.09 eV |
| E-fermi |
-3.697 eV |
| VBM |
-3.740 eV |
| CBM |
-3.651 eV |
| Free energy (eV) |
-17.502 |
| Free energy / atom (eV) |
-2.188 |
| Property |
Value |
| Band gap |
0.34 eV |
| E-fermi |
-3.938 eV |
| Vacuum level |
1.797 eV |
| VBM |
-4.112 eV |
| CBM |
-3.770 eV |
| Work function |
5.735 eV |
| Cij (N/m) |
xx |
yy |
xy |
| xx |
11.855 |
-4.453 |
0.000 |
| yy |
-4.453 |
11.855 |
0.000 |
| xy |
0.000 |
0.000 |
8.154 |
| Phonon mode at Γ point (THz) |
| -1.850 |
| -1.850 |
| -0.670 |
| -0.594 |
| -0.594 |
| -0.007 |
| -0.004 |
| -0.004 |
| 1.026 |
| 1.310 |
| 2.202 |
| 2.202 |
| 2.226 |
| 2.226 |
| 2.751 |
| 2.751 |
| 3.158 |
| 3.192 |
| 3.338 |
| 3.338 |
| 3.715 |
| 4.394 |
| 4.394 |
| 5.635 |
| Property |
Value |
| from where |
c2db-1259 |