Ga2I2Y2
MatHub2d-611-Ga2I2Y2
| Property |
Value |
| Space group |
(164, 'P-3m1') |
| Crystal system |
hexagonal |
| Magnetic |
No |
| Band gap (PBE) (eV) |
0.00 |
| Free energy (eV) |
-27.935 |
| Free energy / atom (eV) |
-4.656 |
Lattice Parameters (basic)
| a, b, c (Å): | 4.181 | 4.181 | 30.000 |
| α, β, γ (°): | 90.000 | 90.000 | 120.000 |
Lattice Parameters (computed)
| a, b, c (Å): | 4.188 | 4.188 | 30.000 |
| α, β, γ (°): | 90.000 | 90.000 | 120.000 |
| Property |
Value |
| Band gap |
0.00 eV |
| E-fermi |
-0.786 eV |
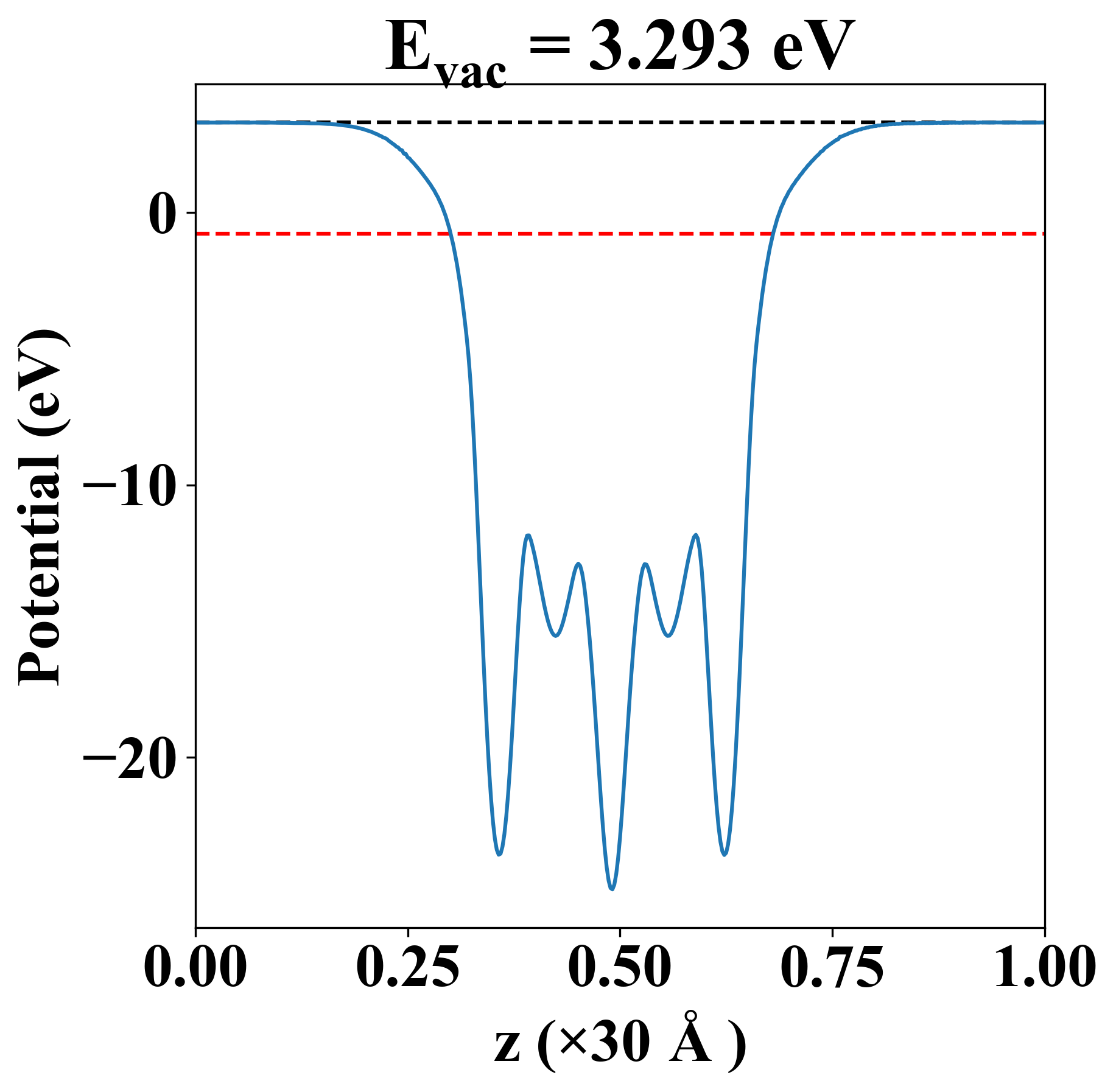
| Vacuum level |
3.293 eV |
| VBM |
-0.788 eV |
| CBM |
-0.785 eV |
| Work function |
4.080 eV |
| Direct gap |
No |
| Property |
Value |
| Band gap |
0.00 eV |
| E-fermi |
-0.786 eV |
| Vacuum level |
3.293 eV |
| VBM |
-0.788 eV |
| CBM |
-0.785 eV |
| Work function |
4.080 eV |
| Cij (N/m) |
xx |
yy |
xy |
| xx |
100.609 |
23.382 |
-0.000 |
| yy |
23.382 |
100.609 |
0.000 |
| xy |
-0.000 |
0.000 |
38.613 |
| Phonon mode at Γ point (THz) |
| -0.008 |
| -0.008 |
| -0.007 |
| 1.509 |
| 1.509 |
| 2.093 |
| 2.468 |
| 2.468 |
| 3.407 |
| 3.462 |
| 3.818 |
| 3.818 |
| 4.461 |
| 4.461 |
| 5.607 |
| 5.641 |
| 7.640 |
| 7.640 |
| Property |
Value |
| from where |
JVASP-14425 |