Ga1P1
MatHub2d-610-Ga1P1
| Property |
Value |
| Space group |
(156, 'P3m1') |
| Crystal system |
hexagonal |
| Magnetic |
No |
| Band gap (PBE) (eV) |
1.90 |
| Free energy (eV) |
-8.305 |
| Free energy / atom (eV) |
-4.152 |
Lattice Parameters (basic)
| a, b, c (Å): | 3.926 | 3.926 | 30.000 |
| α, β, γ (°): | 90.000 | 90.000 | 120.000 |
Lattice Parameters (computed)
| a, b, c (Å): | 3.857 | 3.857 | 30.000 |
| α, β, γ (°): | 90.000 | 90.000 | 120.000 |
| Property |
Value |
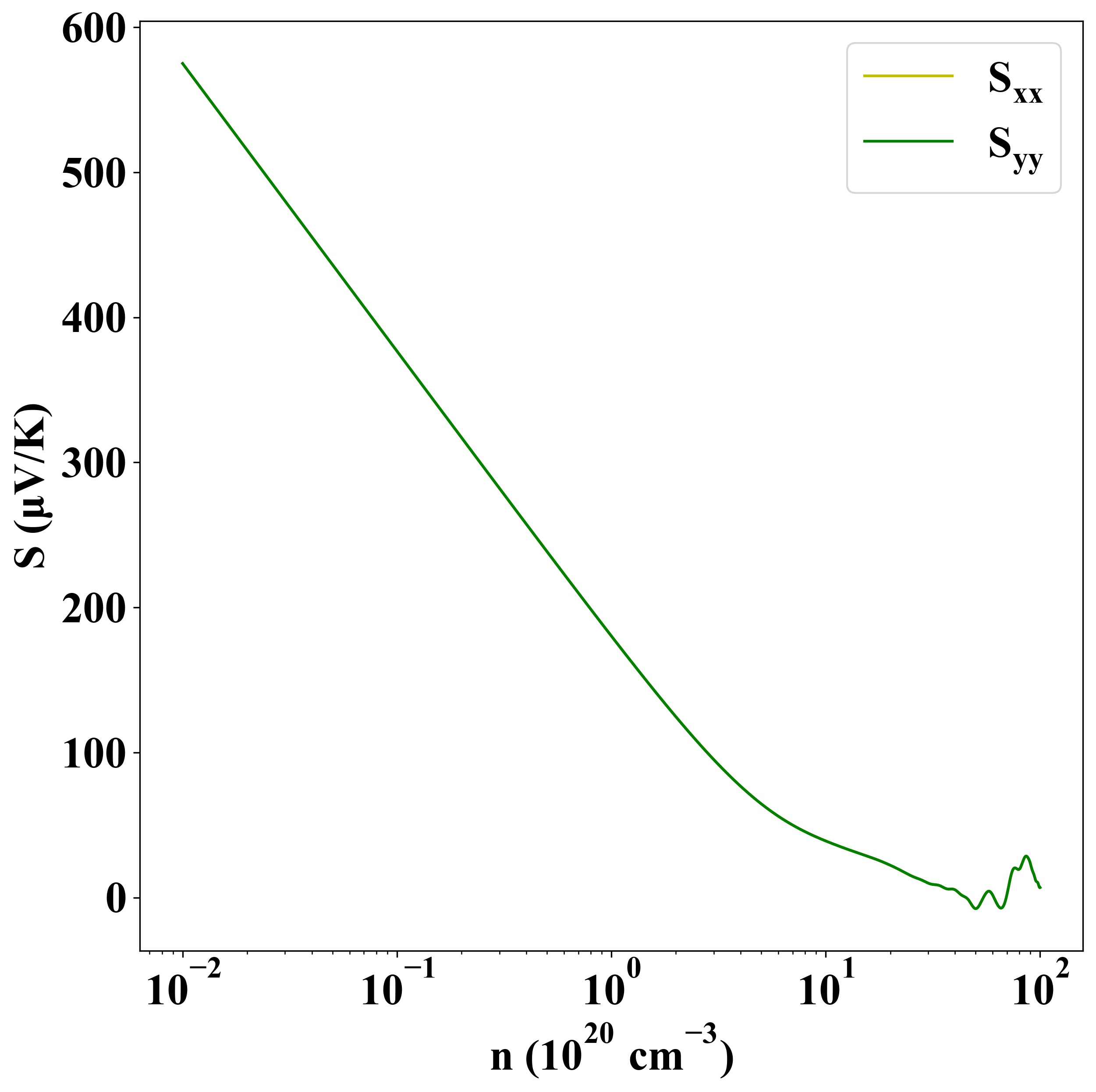
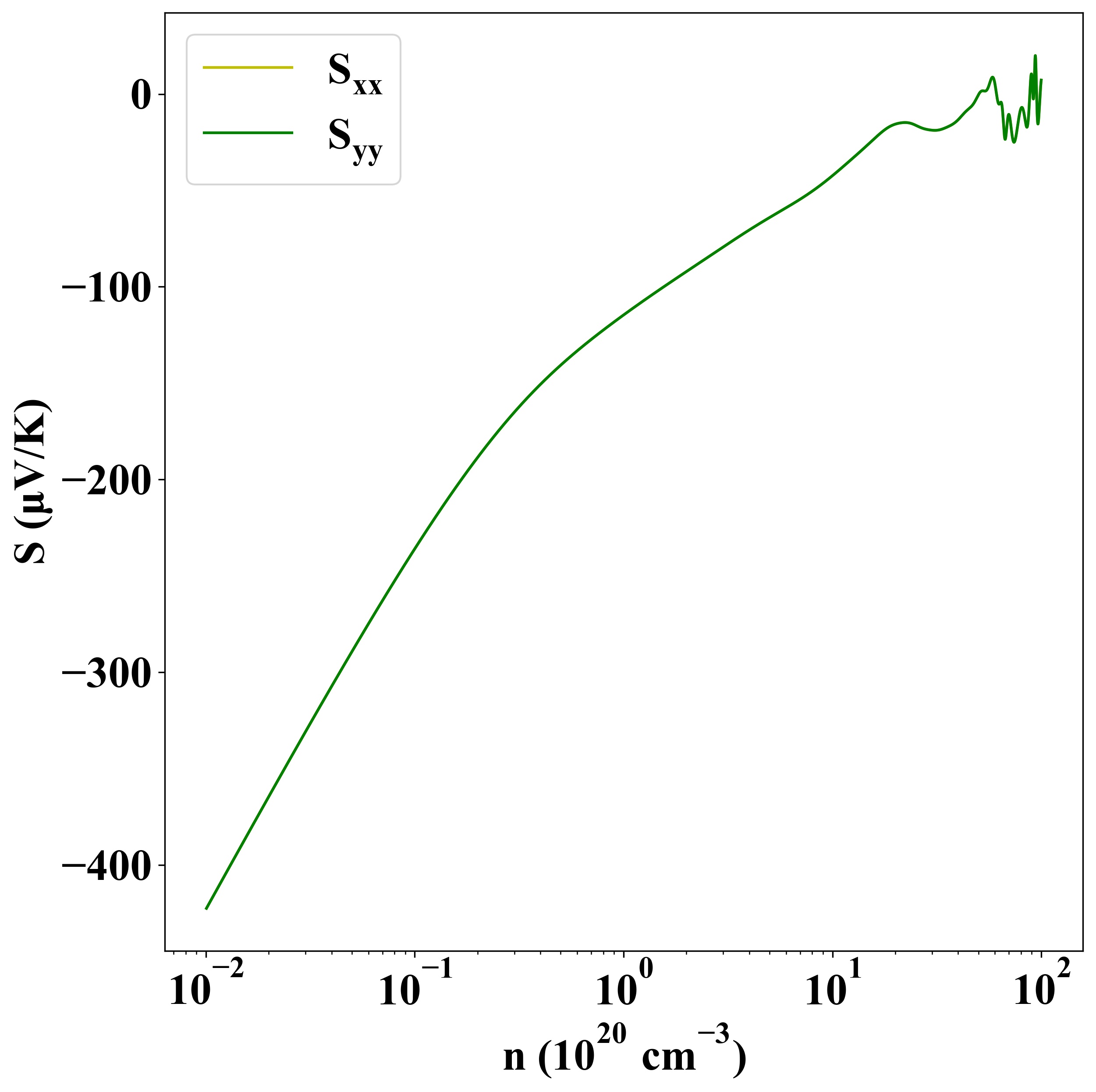
| Band gap |
1.90 eV |
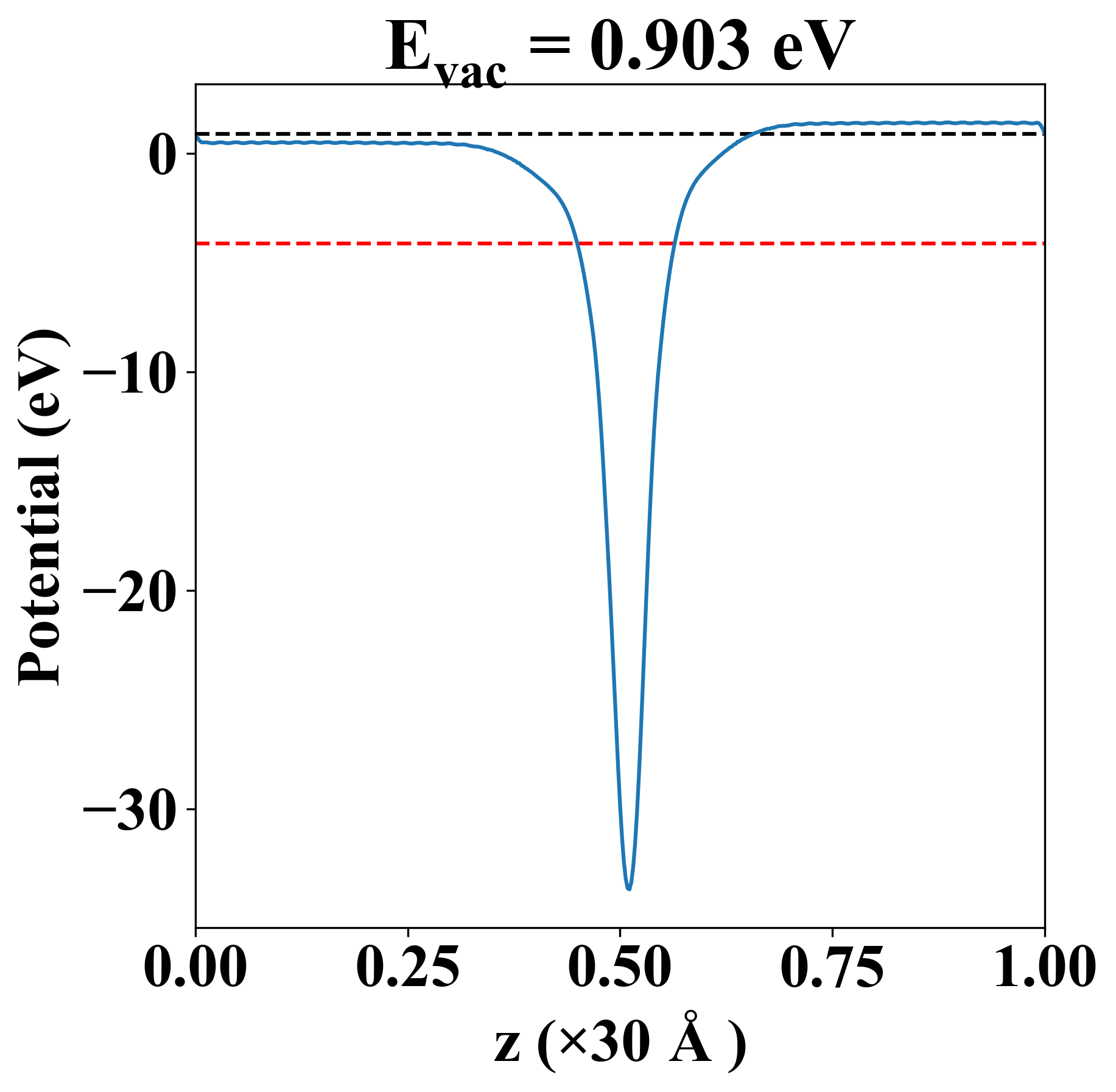
| E-fermi |
-4.111 eV |
| Vacuum level |
0.903 eV |
| VBM |
-4.345 eV |
| CBM |
-2.444 eV |
| Work function |
5.014 eV |
| Direct gap |
No |
| Property |
Value |
| Band gap |
1.90 eV |
| E-fermi |
-4.030 eV |
| VBM |
-4.320 eV |
| CBM |
-2.420 eV |
| Free energy (eV) |
-8.311 |
| Free energy / atom (eV) |
-4.155 |
| Property |
Value |
| Band gap |
1.90 eV |
| E-fermi |
-4.111 eV |
| Vacuum level |
0.903 eV |
| VBM |
-4.345 eV |
| CBM |
-2.444 eV |
| Work function |
5.014 eV |
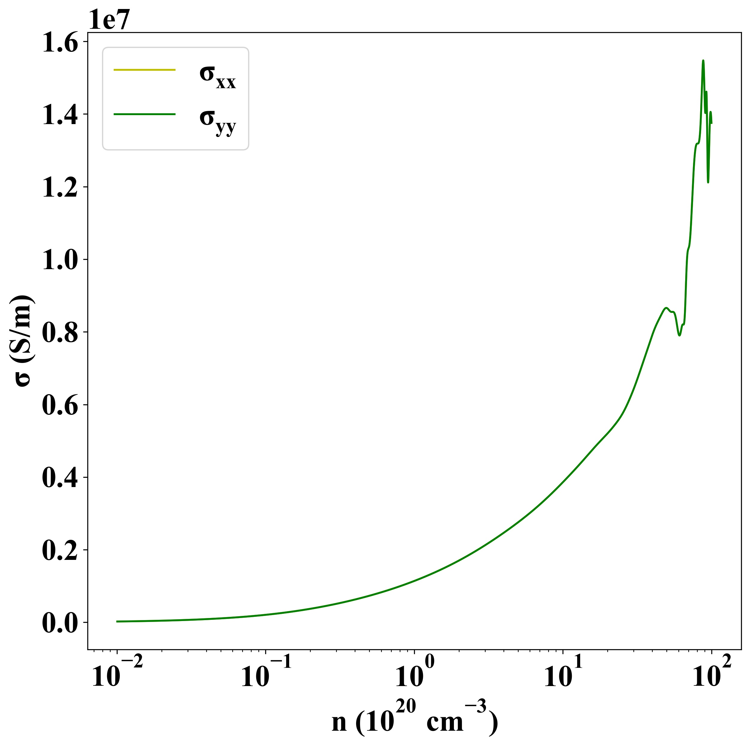
| Cij (N/m) |
xx |
yy |
xy |
| xx |
65.139 |
21.554 |
0.000 |
| yy |
21.554 |
65.139 |
-0.000 |
| xy |
0.000 |
-0.000 |
21.792 |
| Phonon mode at Γ point (THz) |
| -0.001 |
| 0.000 |
| 0.000 |
| 3.533 |
| 12.803 |
| 12.803 |
| Property |
Value |
| from where |
c2db-684 |