Ga1N1
MatHub2d-609-Ga1N1
| Property |
Value |
| Space group |
(187, 'P-6m2') |
| Crystal system |
hexagonal |
| Magnetic |
No |
| Band gap (PBE) (eV) |
2.53 |
| Free energy (eV) |
-11.903 |
| Free energy / atom (eV) |
-5.951 |
Lattice Parameters (basic)
| a, b, c (Å): | 3.268 | 3.268 | 30.000 |
| α, β, γ (°): | 90.000 | 90.000 | 120.000 |
Lattice Parameters (computed)
| a, b, c (Å): | 3.147 | 3.147 | 30.000 |
| α, β, γ (°): | 90.000 | 90.000 | 120.000 |
| Property |
Value |
| Band gap |
2.53 eV |
| E-fermi |
-4.199 eV |
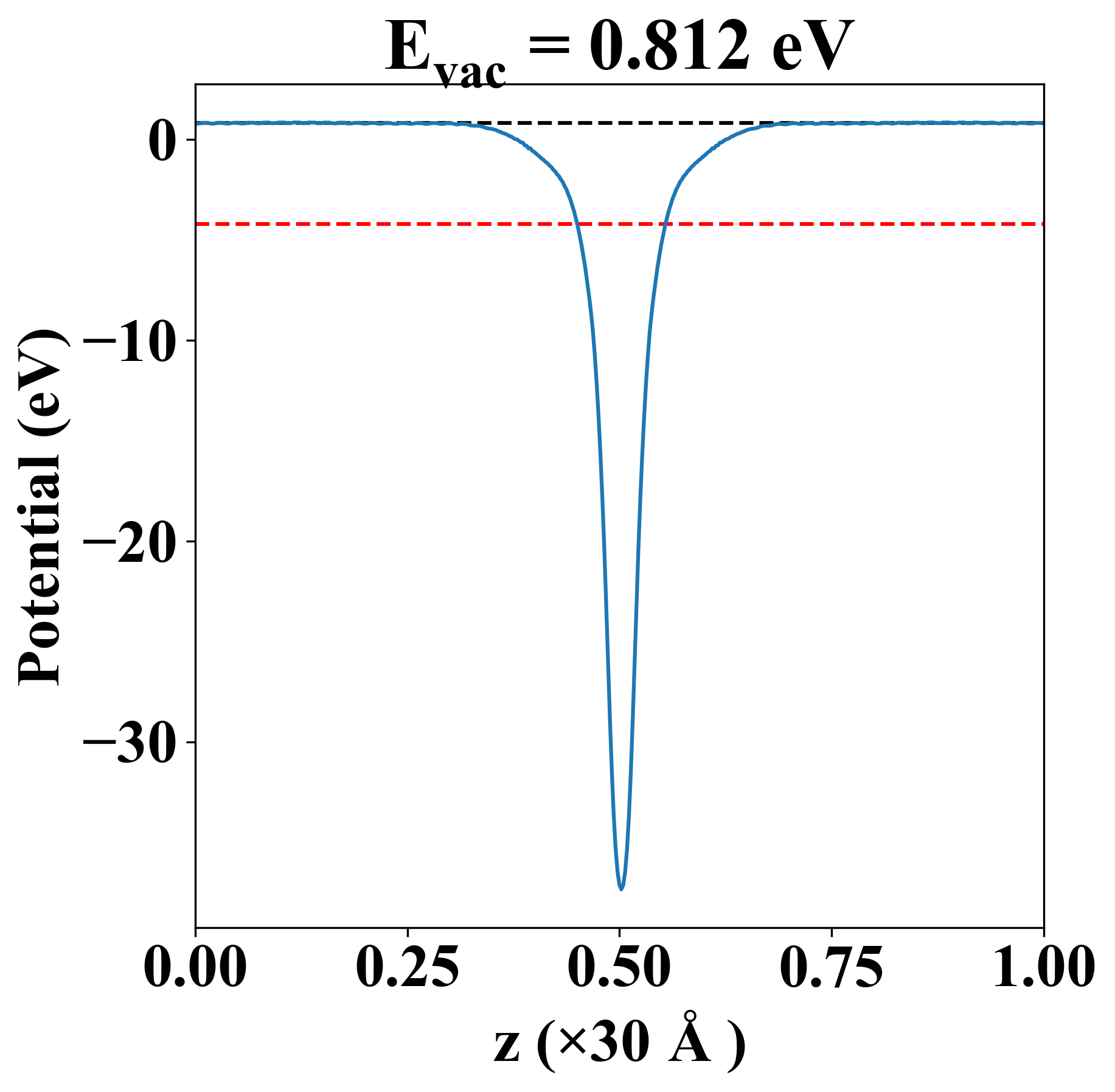
| Vacuum level |
0.812 eV |
| VBM |
-4.457 eV |
| CBM |
-1.927 eV |
| Work function |
5.011 eV |
| Direct gap |
No |
| Property |
Value |
| Band gap |
2.53 eV |
| E-fermi |
-4.202 eV |
| VBM |
-4.463 eV |
| CBM |
-1.933 eV |
| Free energy (eV) |
-11.908 |
| Free energy / atom (eV) |
-5.954 |
| Property |
Value |
| Band gap |
2.53 eV |
| E-fermi |
-4.199 eV |
| Vacuum level |
0.812 eV |
| VBM |
-4.457 eV |
| CBM |
-1.927 eV |
| Work function |
5.011 eV |
| Cij (N/m) |
xx |
yy |
xy |
| xx |
151.358 |
77.802 |
0.000 |
| yy |
77.802 |
151.358 |
0.000 |
| xy |
0.000 |
0.000 |
36.778 |
| Phonon mode at Γ point (THz) |
| -0.019 |
| -0.002 |
| -0.002 |
| 7.984 |
| 22.864 |
| 22.864 |
| Property |
Value |
| from where |
c2db-683 |