Ga1N1
MatHub2d-608-Ga1N1
| Property |
Value |
| Space group |
(187, 'P-6m2') |
| Crystal system |
hexagonal |
| Magnetic |
No |
| Band gap (PBE) (eV) |
2.54 |
| Free energy (eV) |
-11.903 |
| Free energy / atom (eV) |
-5.951 |
Lattice Parameters (basic)
| a, b, c (Å): | 3.211 | 3.211 | 30.000 |
| α, β, γ (°): | 90.000 | 90.000 | 120.000 |
Lattice Parameters (computed)
| a, b, c (Å): | 3.146 | 3.146 | 30.000 |
| α, β, γ (°): | 90.000 | 90.000 | 120.000 |
| Property |
Value |
| Band gap |
2.54 eV |
| E-fermi |
-4.200 eV |
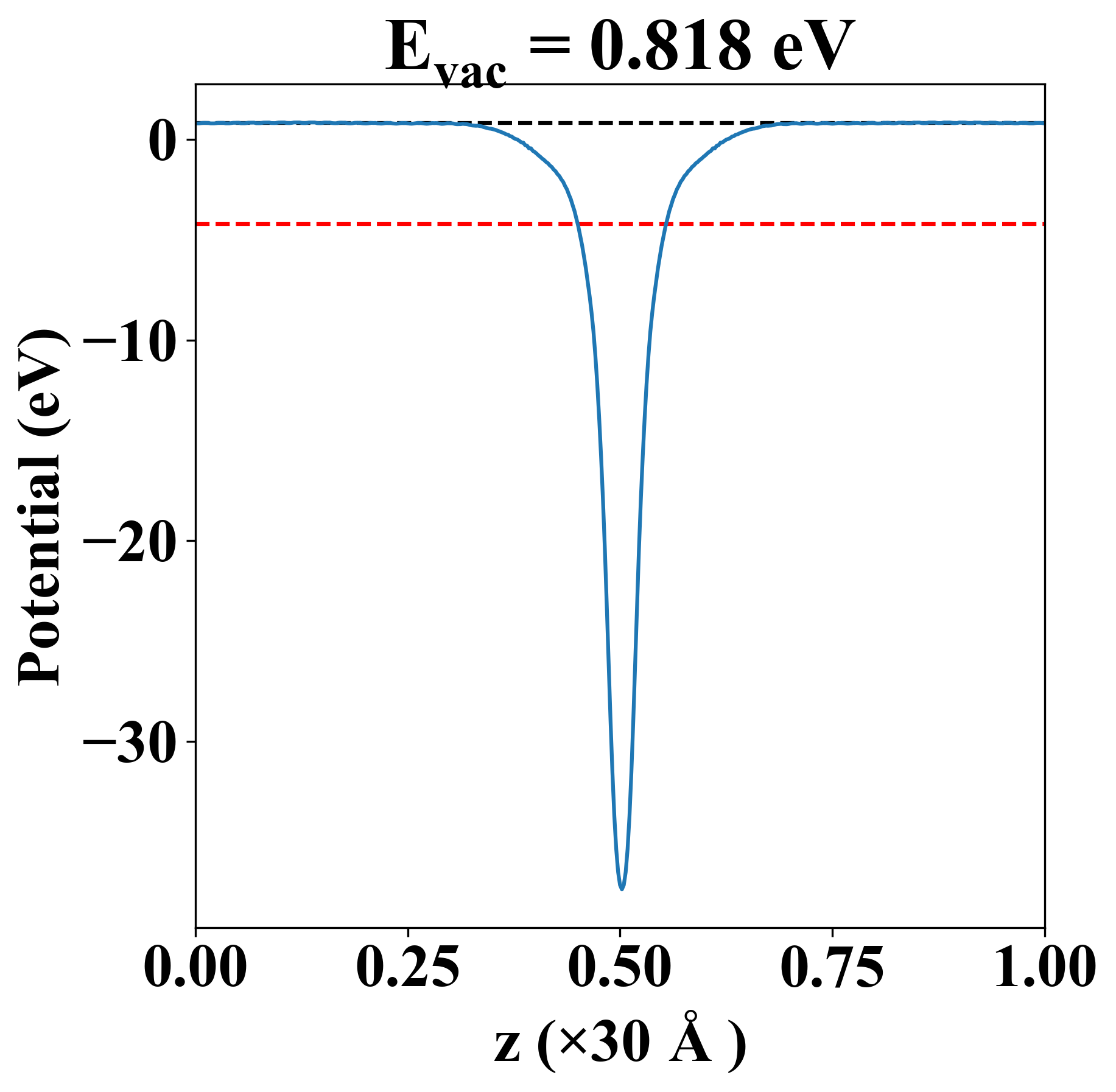
| Vacuum level |
0.818 eV |
| VBM |
-4.458 eV |
| CBM |
-1.922 eV |
| Work function |
5.018 eV |
| Direct gap |
No |
| Property |
Value |
| Band gap |
2.54 eV |
| E-fermi |
-4.204 eV |
| VBM |
-4.461 eV |
| CBM |
-1.926 eV |
| Free energy (eV) |
-11.908 |
| Free energy / atom (eV) |
-5.954 |
| Property |
Value |
| Band gap |
2.54 eV |
| E-fermi |
-4.200 eV |
| Vacuum level |
0.818 eV |
| VBM |
-4.458 eV |
| CBM |
-1.922 eV |
| Work function |
5.018 eV |
| Cij (N/m) |
xx |
yy |
xy |
| xx |
151.642 |
78.184 |
0.000 |
| yy |
78.184 |
151.642 |
-0.000 |
| xy |
0.000 |
-0.000 |
36.729 |
| Phonon mode at Γ point (THz) |
| -0.019 |
| -0.003 |
| -0.003 |
| 7.972 |
| 22.900 |
| 22.900 |
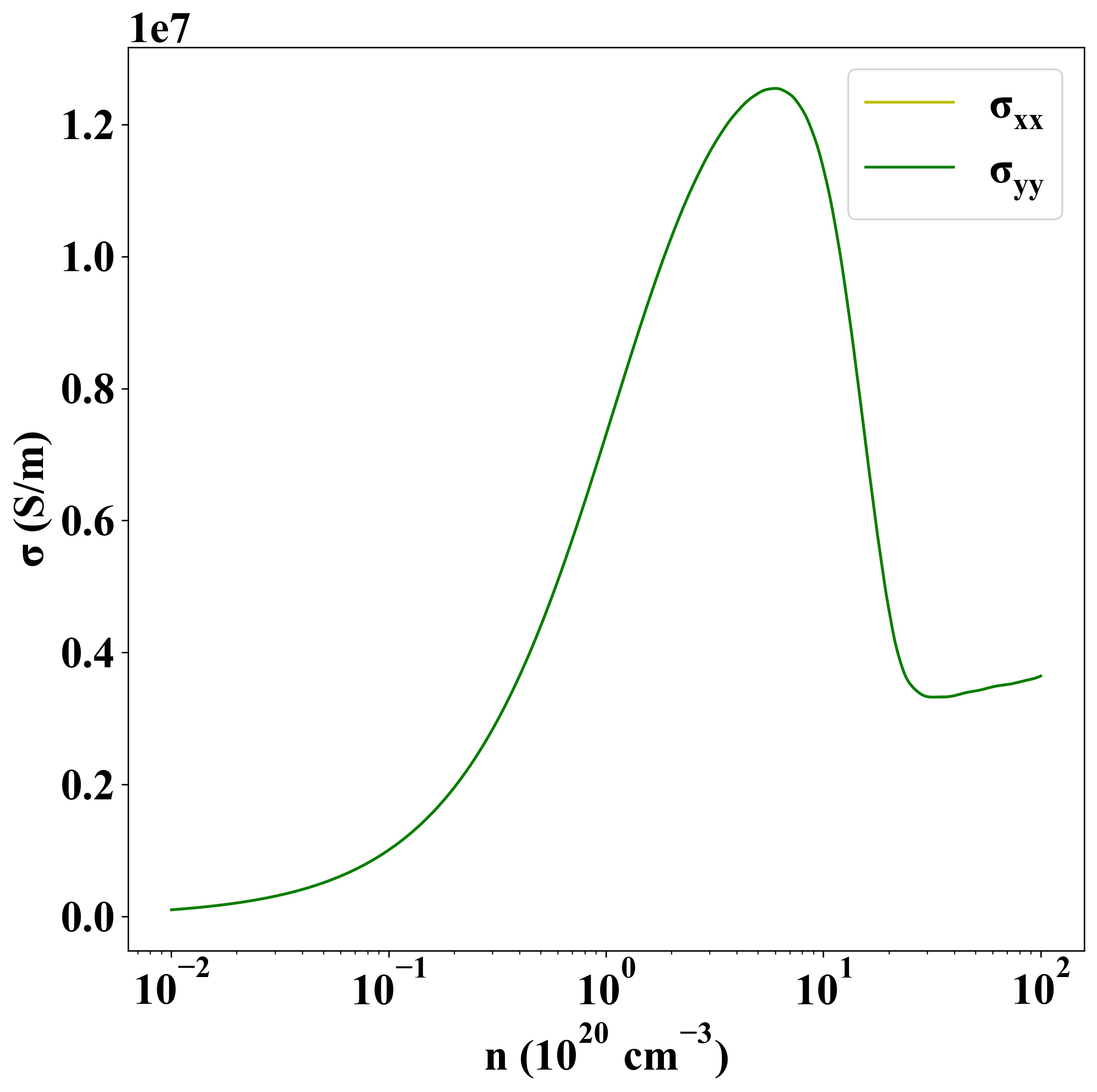
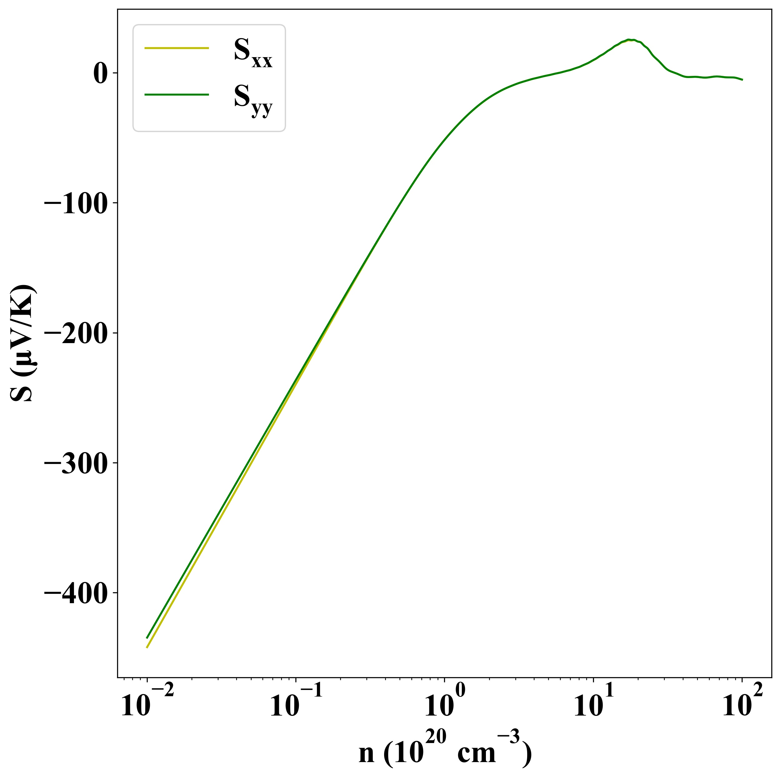
| Carrier type |
C2D (N/m) |
Edef (eV) |
μ (cm2V-1s-1) |
| x |
y |
x |
y |
x |
y |
| hole |
139.16 |
139.20 |
-0.78 |
-0.92 |
-1205.33 |
-861.97 |
| electron |
-8.59 |
-8.71 |
1012.55 |
985.21 |
| Property |
Value |
| from where |
JVASP-6517 |