Ga1I2
MatHub2d-607-Ga1I2
| Property |
Value |
| Space group |
(187, 'P-6m2') |
| Crystal system |
hexagonal |
| Magnetic |
No |
| Band gap (PBE) (eV) |
0.00 |
| Free energy (eV) |
-6.544 |
| Free energy / atom (eV) |
-2.181 |
Lattice Parameters (basic)
| a, b, c (Å): | 4.043 | 4.043 | 30.000 |
| α, β, γ (°): | 90.000 | 90.000 | 120.000 |
Lattice Parameters (computed)
| a, b, c (Å): | 4.024 | 4.024 | 30.000 |
| α, β, γ (°): | 90.000 | 90.000 | 120.000 |
| Property |
Value |
| Band gap |
0.00 eV |
| E-fermi |
-3.306 eV |
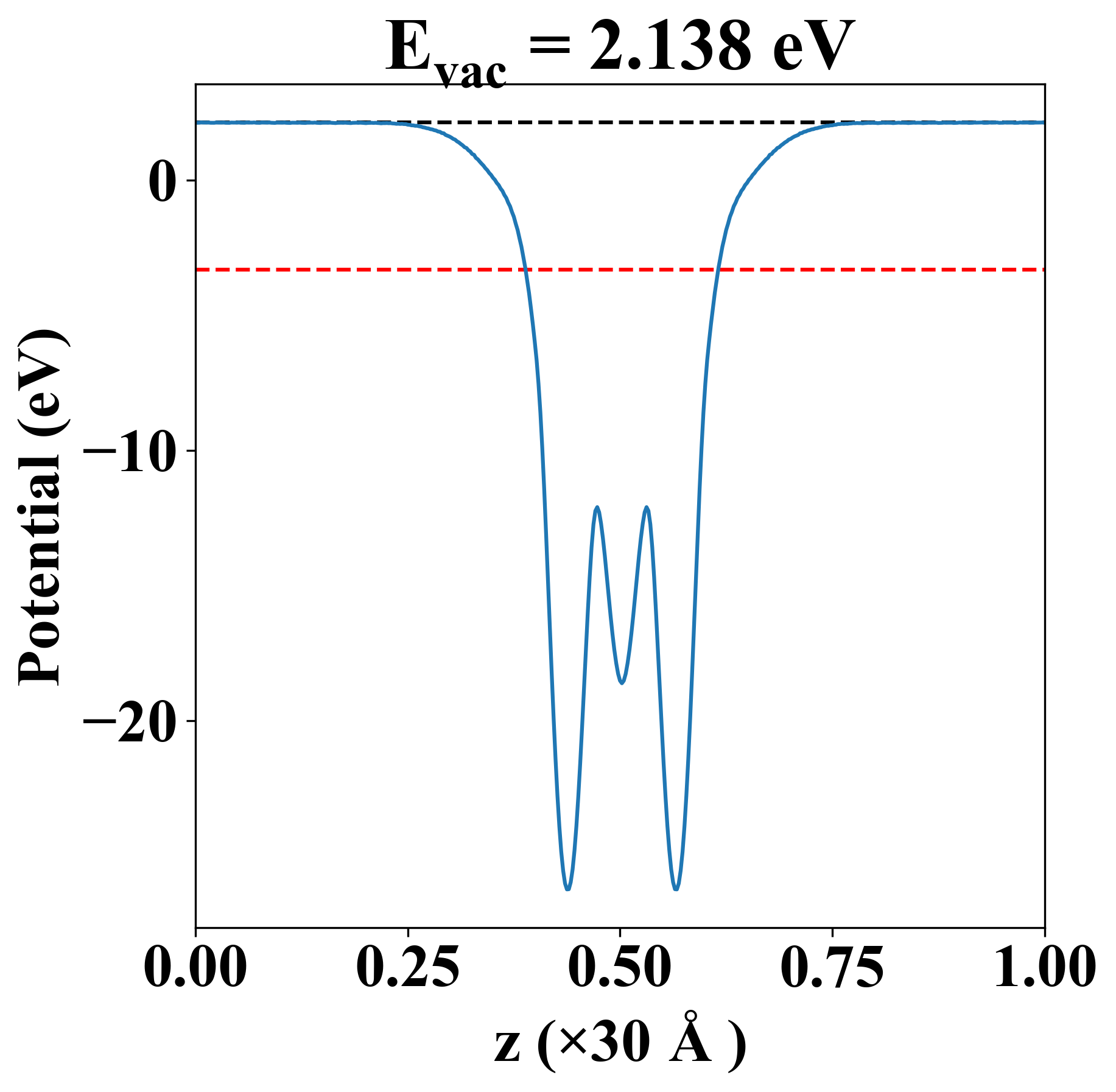
| Vacuum level |
2.138 eV |
| VBM |
-3.307 eV |
| CBM |
-3.298 eV |
| Work function |
5.444 eV |
| Direct gap |
No |
| Property |
Value |
| Band gap |
0.00 eV |
| E-fermi |
-3.306 eV |
| Vacuum level |
2.138 eV |
| VBM |
-3.307 eV |
| CBM |
-3.298 eV |
| Work function |
5.444 eV |
| Cij (N/m) |
xx |
yy |
xy |
| xx |
29.571 |
11.428 |
0.000 |
| yy |
11.428 |
29.571 |
0.000 |
| xy |
0.000 |
0.000 |
9.071 |
| Phonon mode at Γ point (THz) |
| -0.023 |
| -0.023 |
| -0.004 |
| 0.385 |
| 0.385 |
| 2.290 |
| 2.290 |
| 3.298 |
| 5.424 |
| Property |
Value |
| from where |
c2db-1000 |