Ga1I2
MatHub2d-606-Ga1I2
| Property |
Value |
| Space group |
(164, 'P-3m1') |
| Crystal system |
hexagonal |
| Magnetic |
No |
| Band gap (PBE) (eV) |
0.00 |
| Free energy (eV) |
-6.876 |
| Free energy / atom (eV) |
-2.292 |
Lattice Parameters (basic)
| a, b, c (Å): | 4.147 | 4.147 | 30.000 |
| α, β, γ (°): | 90.000 | 90.000 | 120.000 |
Lattice Parameters (computed)
| a, b, c (Å): | 4.131 | 4.131 | 30.000 |
| α, β, γ (°): | 90.000 | 90.000 | 120.000 |
| Property |
Value |
| Band gap |
0.00 eV |
| E-fermi |
-2.989 eV |
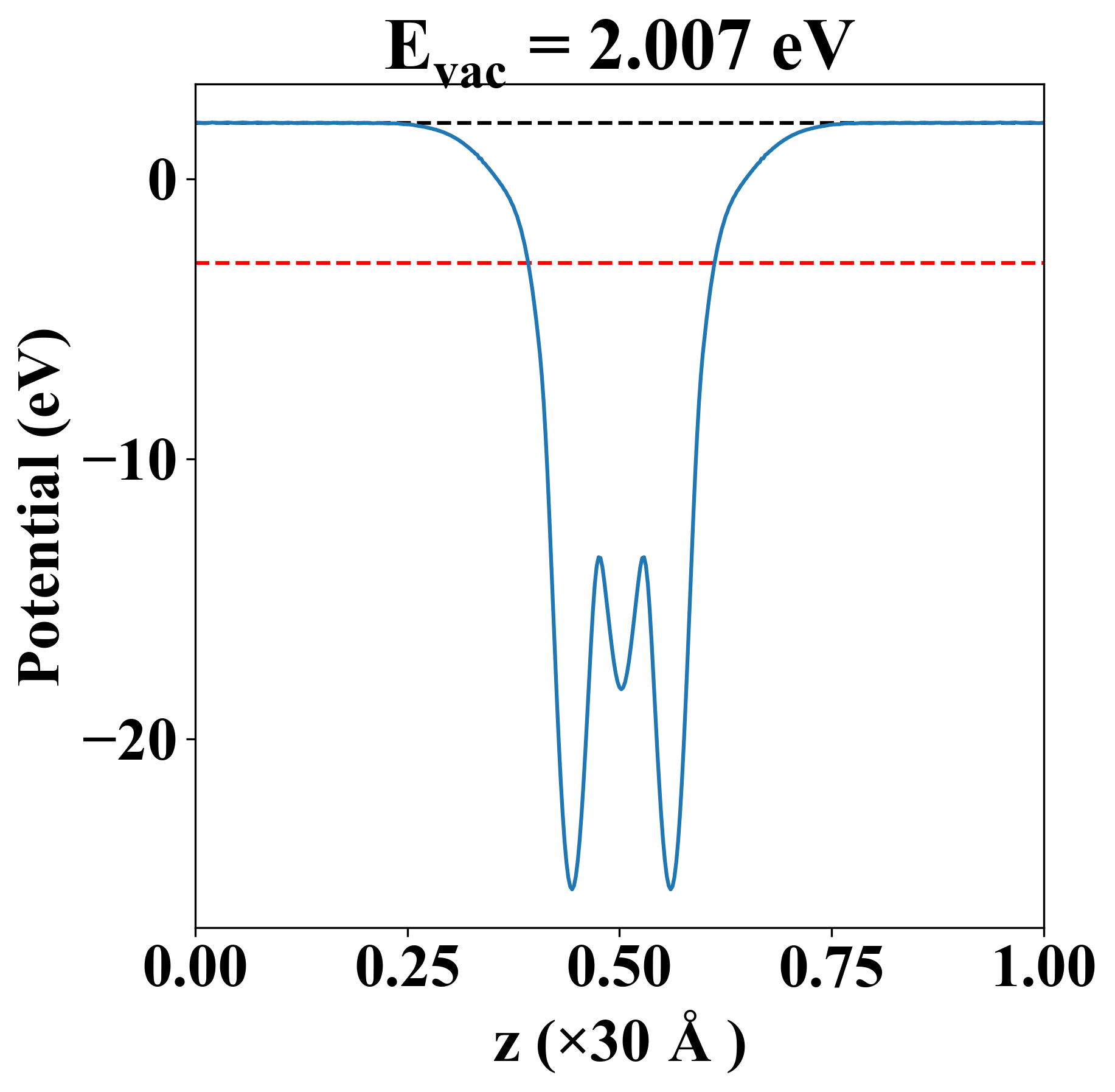
| Vacuum level |
2.007 eV |
| VBM |
-2.993 eV |
| CBM |
-2.988 eV |
| Work function |
4.997 eV |
| Direct gap |
No |
| Property |
Value |
| Band gap |
0.00 eV |
| E-fermi |
-2.989 eV |
| Vacuum level |
2.007 eV |
| VBM |
-2.993 eV |
| CBM |
-2.988 eV |
| Work function |
4.997 eV |
| Cij (N/m) |
xx |
yy |
xy |
| xx |
20.817 |
11.492 |
-0.000 |
| yy |
11.492 |
20.817 |
-0.000 |
| xy |
-0.000 |
-0.000 |
4.662 |
| Phonon mode at Γ point (THz) |
| -0.006 |
| -0.005 |
| -0.005 |
| 1.862 |
| 1.862 |
| 2.488 |
| 2.488 |
| 2.772 |
| 5.582 |
| Property |
Value |
| from where |
c2db-877 |