Fe3Ge1Te2
MatHub2d-605-Fe3Ge1Te2
| Property |
Value |
| Space group |
(187, 'P-6m2') |
| Crystal system |
hexagonal |
| Magnetic |
Yes |
| Band gap (PBE) (eV) |
0.01 |
| Free energy (eV) |
-26.505 |
| Free energy / atom (eV) |
-4.418 |
Lattice Parameters (basic)
| a, b, c (Å): | 3.954 | 3.954 | 30.000 |
| α, β, γ (°): | 90.000 | 90.000 | 120.000 |
Lattice Parameters (computed)
| a, b, c (Å): | 4.329 | 4.329 | 30.000 |
| α, β, γ (°): | 90.000 | 90.000 | 120.000 |
| Property |
Value |
| Band gap |
0.01 eV |
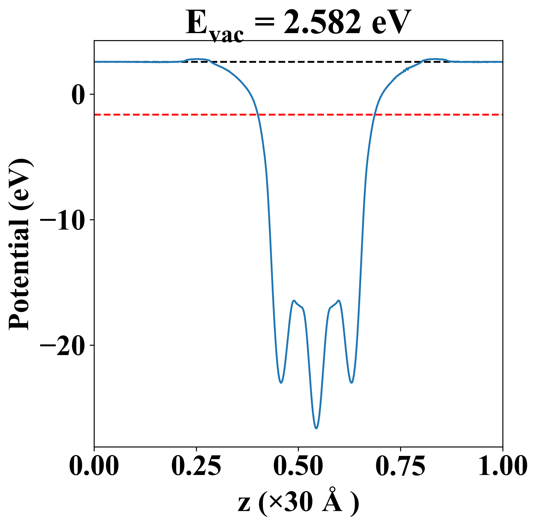
| E-fermi |
-1.623 eV |
| Vacuum level |
2.582 eV |
| VBM |
-1.627 eV |
| CBM |
-1.622 eV |
| Work function |
4.204 eV |
| Direct gap |
No |
| Property |
Value |
| Band gap |
0.01 eV |
| E-fermi |
-1.623 eV |
| Vacuum level |
2.582 eV |
| VBM |
-1.627 eV |
| CBM |
-1.622 eV |
| Work function |
4.204 eV |
| Cij (N/m) |
xx |
yy |
xy |
| xx |
35.866 |
54.181 |
0.000 |
| yy |
54.181 |
35.866 |
-0.000 |
| xy |
0.000 |
-0.000 |
-9.158 |
| Phonon mode at Γ point (THz) |
| -0.023 |
| -0.016 |
| -0.016 |
| 0.907 |
| 0.907 |
| 1.300 |
| 1.300 |
| 2.297 |
| 2.935 |
| 2.935 |
| 3.005 |
| 3.152 |
| 3.152 |
| 3.971 |
| 4.424 |
| 5.447 |
| 5.447 |
| 5.661 |
| Property |
Value |
| from where |
sz.tsinghua-14 |